首页
财务会计
医药卫生
金融经济
考公考编
外语考试
学历提升
职称考试
建筑工程
IT考试
其他
登录
建筑工程
下列各级数中发散的是:
下列各级数中发散的是:
admin
2020-12-24
19
问题
下列各级数中发散的是:
选项
答案
A
解析
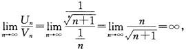
解 利用交错级数收敛法可判定选项B的级数收敛,利用正项级数比值法可判定选项C 的级数收敛,利用等比级数收敛性的结论知选项级数D的级数收敛,故发散的是选项A的级数。或直接通过正项级数比较法的极限形式判定,
转载请注明原文地址:https://ti.zuoweng.com/ti/7Tn0KKKQ
相关试题推荐
将f(x)=1/(2-x)展开为x的幂级数,其收敛域为()。A.(-1,1)B.(-2,2)C.〔-1/2,1/2)D.(-∞,+∞)
幂级数的和是()。
幂级数的收敛区间为()。A.[-1,1]B.(-1,1]C.[-1,1)D.(-1,1)
若,则幂级数()。A.必在x>3时发散B.必在x≤3时发敛C.在x=-3处的敛散性不定D.其收敛半径为3
若级数在x=-2处收敛,则此级数在x=5处()。A.发散B.条件收敛C.绝对收敛D.收敛性不能确定
若级数发散,则的敛散性为()。A.一定发散B.可能收敛,也可能发散C.a>0时收敛,a1时发散
设0≤an≤1/n(n=1,2,…),下列级数中绝对收敛的是()。
级数的收敛性是()。A.绝对收敛B.条件收敛C.等比级数收敛D.发散
下列各级数中发散的是()。
若级数收敛,则下列级数中不收敛的是()。
随机试题
进行国有土地登记发证首先要进行( )。 A、土地总登记 B、土地调查 C
(25-26题共用备选答案) A.肉轮 B.血轮 C.气轮 D.风轮
关于\"奉献\"的特征,正确的是() A.非功利性 B.不稳定性 C.可为性
下列关于城市设计的表述,错误的是()。
高频阻波器的()应满足最大负载的要求,引下线不应过松或过紧,接头接触良好。
BPRS的评定等级是( )级。
经现场观测得知,完成某分项工程需消耗某种材料1.76m3,其中损耗量为0.055
哪一项不是枕骨大孔疝的常见病变 A大脑半球肿瘤 B小脑半球星形细胞瘤
多含有大量蔗糖,极易受潮结块的是A.片剂B.散剂C.膏剂D.胶囊剂E.颗粒剂
麦冬和半夏在麦门冬汤原方中的比例为A.1:1B.2:1C.5:1D.7:1E.10:1