知识宝藏-WellCMS
  •  首页
  •  财务会计
  •  医药卫生
  •  金融经济
  •  考公考编
  •  外语考试
  •  学历提升
  •  职称考试
  •  建筑工程
  •  IT考试
  •  其他
  •  登录
  1. 考公考编
  2. 2, 1, 3,10,103,()。A.8927 B.9109 C.9247 D.10619

2, 1, 3,10,103,()。A.8927 B.9109 C.9247 D.10619

admin2020-12-24  7

问题 2, 1, 3,10,103,()。

选项 A.8927
B.9109
C.9247
D.10619

答案D

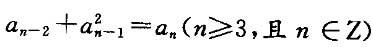
解析原数列通项公式为:。因此D项正确。
转载请注明原文地址:https://ti.zuoweng.com/ti/9Mp0KKKQ
相关试题推荐
    随机试题
    • 主要含硒的酶包括(  )。 A、胃蛋白酶 B、谷胱甘肽过氧化物酶 C、过氧

    • 脑出血的预后与哪种因素有关 A、出血量 B、并发症严重程度 C、出血部

    • 对于基金管理人来讲,开放式基金比封闭式基金提供了更好的激励约束机制,原因在于( 

    • 如果其他情况不变,中央银行提高商业银行法定存款准备金率会导致()。

    • 新疆维吾尔自治区的陆地面积在全国居第( )位

    • 刘先生在2012年9月1日存入一笔3000元的活期存款,10月1日取出全部本金,

    • 各级别房地产经纪人资格证书实行登记服务制度,具体工作由( )负责。

    • 抗结核药A.诺氟沙星B.酮康唑C.多柔比星D.链霉素E.甲氧苄啶

    • 哺乳期妇女不宜使用的药物是A.阿胶B.复方甘草口服液C.山药D.地黄E.山楂

    • 在我国,大豆期货连续竞价时段,某合约最高买入申报价为4530元/吨,最低卖出申报价为4526元/吨,前一成交价为4527元/吨,则最新成交价为()元/吨。A.4

    CopyRight © 2022 All Rights Reserved 鲁ICP备17016787号-14
    Processed: 0.034, SQL: 4