首页
财务会计
医药卫生
金融经济
考公考编
外语考试
学历提升
职称考试
建筑工程
IT考试
其他
登录
建筑工程
正弦电流通过电容元件时,电流应为下列哪项数值?( )
正弦电流通过电容元件时,电流应为下列哪项数值?( )
admin
2020-12-24
9
问题
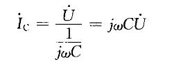
正弦电流通过电容元件时,电流
应为下列哪项数值?( )
选项
答案
B
解析
解:
转载请注明原文地址:https://ti.zuoweng.com/ti/9SK8KKKQ
相关试题推荐
某孕妇身体矮小,匀称,骨盆测量数值如下:髂前上棘间径22cm,髂嵴间径24cm,慨耻外径17cm,出口横径7.5cm,对角径11.5cm,此孕妇骨盆为A.扁平
患者,男,65岁,以“原发性高血压”入院。患者右侧肢体偏瘫,测量血压操作正确的是A.固定专人测量B.读血压数值时,应先读收缩压,后读舒张压C.袖带下
女,24岁,身材矮小,匀称,骨盆测量数值如下:髂前上棘间径22cm,髂嵴间径24cm,骶耻外径17cm,出口横径7.5cm,对角径11.5cm。此孕妇骨盆为A.
下列()为短路发生后的元件电流波形。
为限制短路电流,对于环网系统通常采用下列()方式操作。 (A)在负荷允许前提下,在穿越功率最大处解环 (B)在负荷允许前提下,在穿越功率最小处解环 ...
以下关于系统中的断路器与隔离开关描述正确的是()。 (A)断路器与隔离开关均作为断路设备,工作特点相同 (B)断路器不具有开断电流能力,隔离开关具有开...
外桥形接线适用于下列()场合。 (A)系统短路电流较大 (B)内部系统检修频繁 (C)外部系统经常切换或有较大穿越功率流过 (D)系统发展较快
电流互感器的容量通常表示为()。 (A)电流(B)电压(C)VA(D)阻抗
电压互感器与电流互感器一次侧接入电力系统的方式是()。 (A)串接、串接(B)并接、并接(C)串接、并接(D)并接、串接
电流互感器二次侧负荷主要包括()。 (A)仪器仪表的阻抗(B)连接电缆的阻抗 (C)仪器仪表和电缆的阻抗(D)仪器仪表、电缆与变压器阻抗
随机试题
有关宫内节育器的叙述,错误的是()。 A.分为惰性IUD和活性IUD两大类
(2015年)根据劳动合同法律制度的规定,关于用人单位和劳动者对竞业限制约定的下
某新建企业在竣工验收前,按照设计规定的工程质量标准,需对整个车间进行负荷联试运转
刚上小学的小强经常违反课堂纪律,课上不是玩玩具,就是与同桌大声说话,受到老师的批
SS3型电力机车转向架右侧轴箱内设有__________,主要用于防止轴承电蚀。
简述运用讨论法的基本要求。
下列有关蛋白质的叙述哪项不正确 A蛋白质分子都具有一级结构 B蛋白质的二级结构是指多肽链的局部构象 C蛋白质的三级结构是整条肽链的空间结构 D蛋...
为针灸学的发展奠定了坚实基础的著作是A.《千金翼方》B.《灵枢》C.《金贵要略方论》D.《伤寒论》E.《温疫论》
方差的平方是标准差。()
某运输企业4月份主车完成货物周转量32400吨公里,主挂合计完成货物周转量54000吨公里,则该企业4月份拖运率为()。 A.35% B.40% C...