首页
财务会计
医药卫生
金融经济
考公考编
外语考试
学历提升
职称考试
建筑工程
IT考试
其他
登录
建筑工程
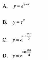
方程xy'-ylny=0,满足ylx=1=e的解是()。
方程xy'-ylny=0,满足ylx=1=e的解是()。
admin
2020-12-24
4
问题
方程xy'-ylny=0,满足ylx=1=e的解是()。
选项
答案
B
解析
将x=1,y=e带入得,C2=1,从而该特解y=ex。
转载请注明原文地址:https://ti.zuoweng.com/ti/A5b0KKKQ
相关试题推荐
应用总流能量方程时,计算断面的压强()。A.必须用绝对压强B.必须用相对压强C.都可以,但两断面应一致D.都可以,两断面不必一致
应用总流能量方程时,过流断面应选择()。A.急变流断面B.均匀流或渐变流断面C.水平面D.任意过流断面
总流能量方程中z+p/ρg+v2/2g表示()。A.单位重量流体具有的机械能B.单位质量流体具有的机械能C.单位体积流体具有的机械能D.通过过流断面流体
一定轴转动刚体,其转动方程为,其中a、b均为常数,则知该刚体做()。A.匀加速转动B.匀减速转动C.匀速转动D.无法判断
如图4-38所示,绳子的一端绕在滑轮上,另一端与置于水平面上的物块B相连,若物B的运动方程为x=kt2,其中k为常数,轮子半径为R,则轮缘上A点的加速度的...
点在平面内的运动方程为,则其轨迹为()。A.椭圆曲线B.圆弧曲线C.直线D.抛物线
点作直线运动,运动方程x=27t-t3,x的单位为米,t的单位为秒。则点在t=0到t=7s的时间间隔内走过的路程为()m。A.154B.262C.
如图2-8所示,一平面简谐波沿x轴正向传播,t=0时的波形图如图所示,波速u=20m/s,则P处介质点的振动方程是()。 A.y=0.2cos(4πt
一平面简谐波的波动方程为y=0.01cos10π(25t-x)(SI),则在t=0.1s时刻,x=2m处质元的振动位移是()。A.0.01cmB.0
设A为矩阵,都是齐次线性方程组Ax=0的解,则矩阵A为()。
随机试题
( )不属于反驳论点的方法。 A.归谬法 B.反证法 C.反驳论证 D
依据《使用有毒物品作业场所劳动保护条例》的规定,用人单位未按照规定配备或者聘请职
阿米巴痢疾的大便性状为
基金监管活动的要素包括( )等。
从所给的四个选项中,选择最合适的一个填入问号处,使之呈现一定的规律性:
糖尿病酮中毒
入汤剂宜先煎的药物是A.僵蚕B.钩藤C.地龙D.牡蛎E.羚羊角
水泥混凝土路面填缝时应使用背衬垫条控制填缝形状系数。背衬垫条应具有()等性能。A.高温软化B.良好的弹性C.柔韧性D.不吸水E.耐酸碱腐蚀
下列关于货币层次划分的说法中,错误的是()。A.M0=流通中现金B.M1=M0+企业单位活期存款+农村存款+机关团体部队存款+银行卡项下的个人人民币活期储蓄
2019年某公司给自有员工实际发放合理工资总额为1000万元;公司生产部门接受外部劳务派遣员工6人,每人每月支付劳务费3000元。假设公司当年发生的职工福...