首页
财务会计
医药卫生
金融经济
考公考编
外语考试
学历提升
职称考试
建筑工程
IT考试
其他
登录
金融经济
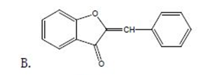
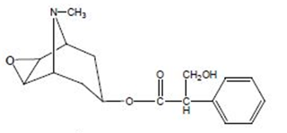
A: B: C: D: E:{图5}
A: B: C: D: E:{图5}
天天题库
2020-05-20
5
问题
A:
B:
C:
D:
E:{图5}
选项
(6) 、属于生物碱类化合物的是
答案
C
解析
该题针对“生物碱结构与分类”知识点进行考核】
转载请注明原文地址:https://ti.zuoweng.com/ti/A9WMKKKQ
相关试题推荐
不属于Ⅲ型超敏反应的疾病是 A、类风湿性关节炎 B、血小板减少性紫癜
超敏反应诊断皮内试验,24小时后局部出现阳性反应属于 A、Ⅰ型变态反应 B
可直接杀伤特异性靶细胞的是 A、K细胞 B、NK细胞 C、巨噬细胞
致敏Tc细胞的作用特点是 A、无抗原特异性 B、受MHC-Ⅱ类分子限制
根据企业所得税法律制度的规定,下列各项中,应计入应纳税所得额计征企业所得税的是(
根据企业所得税法律制度的规定,下列企业中,在计算企业所得税时适用25%税率的是(
根据企业所得税法律制度的规定,下列各项中,不属于企业所得税纳税人的是()
A.病毒 B.细菌 C.真菌 D.支原体 E.衣原体
小儿扁桃体炎的好发年龄为 A、新生儿 B、1岁 C、1~3岁 D、
按病理分类婴幼儿最常见的肺炎是 A、间质性肺炎 B、支气管肺炎 C、毛
随机试题
血气测定中不正确的做法是 A.采动脉血 B.必须抗凝 C.隔绝空气 D.
建设单位在办理质量监督手续时须提交的资料有()
施工进度目标的逐层分解是从施工前和在施工过程中,逐步地由宏观到微观,由宜到细编制
A省2009年全年全部工业增加值148.70亿元,比上年增长25.8%。规模以上
根据《中华人民共和国海关法》的规定,海关的基本任务是( ). A.监管 B
以下关于人形塔梯规定描述错误的是()A.顶部和各节平台应满铺防滑面板并牢固固定,四周应设置安全护栏。B.人行塔梯基础应稳固四脚应垫平,并应与基础固定C
打开文件(文字处理素材29exam29.docx),并按照下列要求进行排版。 (1)设置全文字体为隶书、三号、深红色、带单实线下划线、倾斜。 ...
某项目在施工过程中,施工单位在抽排地下水时未采取防护措施,致使邻近的甲单位印刷设备基础倾斜,因此造成甲单位损失了8万元人民币,根据我国《建设工程安全生产管...
甲申请设立期货公司,其注册资本为4000万元人民币,股东的货币出资额为3000万元人民币,其余1000万元以非货币资产出资。下列说法正确的是()。A.国务院期货
某房地产开发公司拟选择一家物业服务企业,对其投资建设的某高档住宅区进行前期物业管理。 根据上述资料,回答下列问题: 在前期物业管理阶段,物业服务...