首页
财务会计
医药卫生
金融经济
考公考编
外语考试
学历提升
职称考试
建筑工程
IT考试
其他
登录
建筑工程
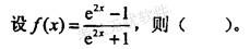
A. f(x)为偶函数,值域为(-1,1) B. f(x)为奇函数,值域为(-∞,0) C.f(x)为奇函数,值域为(-1,1) D. f(x)为奇A.
A. f(x)为偶函数,值域为(-1,1) B. f(x)为奇函数,值域为(-∞,0) C.f(x)为奇函数,值域为(-1,1) D. f(x)为奇A.
admin
2020-12-24
8
问题
选项
A. f(x)为偶函数,值域为(-1,1)
B. f(x)为奇函数,值域为(-∞,0)
C.f(x)为奇函数,值域为(-1,1)
D. f(x)为奇函数,值域为(0,+∞)
答案
C
解析
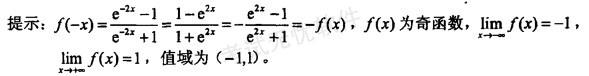
正确答案是C。
转载请注明原文地址:https://ti.zuoweng.com/ti/ACK8KKKQ
相关试题推荐
逻辑函数L=∑(0,1,2,3,4,6,8,9,10,11,12,14)的最简与或式为()。
逻辑函数Y(A,B,C,D)∑m=(0,1,2,3,4,6,8)+∑d(10,11,12,13,14)的最简单的表达式为()。A.ABC+ADB.
逻辑函数Y(A,B,C,D)=∑m(0,1,2,3,4,6,8)+Σd(10,11,12,13,14)的最简与一或表达式为()。
下列选项不正确的说法是()。A.所有的信号都能用确定的时间函数来描述B.在时域中模拟信号用连续的时间函数描述C.若交流电压信号是周期信号,可用周期时间函数描
某种理想气体的总分子数为N,分子速率分布函数为f(v),则速率在v1~v2区间内的分子数是()。
设服从N(0,1)分布的随机变量X,其分布函数为Φ(x)。如果Φ(1)=0.84,则P{X≤1}的值是()。A.0.25B.0.68C.0.13
下列函数中不是方程y''-2y'+y=0的解的函数是()。
若y2(x)是线性非齐次方程y'+p(x)y=q(x)的解,y1(x)是对应的齐次方程y'+p(x)y=0的解,则下列函数也是y'+p(x)y=q(...
设f(x)是连续函数,且,则f(x)=()。A.x2B.X2-2C.2xD.x2-16/9
若f(x)为可导函数,且已知f(0)=0,f'(0)=2,则的值为()。
随机试题
海上货物运输基本险包括()。 A.海上运输平安险 B.海上运输水渍险 C
脊髓灰质炎病毒主要经过下列哪种途径传播 A.血液途径 B.粪-口传播 C.
历史文化名城、名镇、名村保护主要运用城乡规划管理,通过()四大环节实现。
下列关于商业银行资本的说法,不正确的是()。
新生HDL向成熟HDL转化需要
切除肾上腺皮质的狗,将会出现A.血容量增加,尿钠增多,血钾升高B.血容量减少,尿钠增多,血钾升高C.血容量减少,尿钠减少,血钾降低D.血容量增加,尿钠增多
对短期内可观察到疗效的急性病一般用下列哪项来指标评价疗效A.生存率B.患病率C.治愈率D.有效率E.以上指标均可
双酚A-甲基丙烯酸缩水甘油酯A.窝沟封闭剂稀释剂B.窝沟封闭剂可见光固化引发剂C.窝沟封闭所配酸蚀剂D.窝沟封闭剂自凝固化引发剂E.窝沟封闭剂树脂基质
增加细胞内Ca2+浓度,具有正性肌力作用的药物是()A:奎尼丁B:硝酸甘油C:地高辛D:卡托普利E:硝苯地平
城镇体系具有层次性的特征是指()A:城镇之间的社会经济联系是有层次的B:城镇的职能分工是有层次的C:区域基础设施的等级和规模是有层次的D:中心城市的辐射范