首页
财务会计
医药卫生
金融经济
考公考编
外语考试
学历提升
职称考试
建筑工程
IT考试
其他
登录
金融经济
某施工企业实现产值5000万元才刚好不亏损,此时的预算成本与产值的比例为0.88,单位产值变动成本率为0.7,则固定成本为( )万元。 A.7...
某施工企业实现产值5000万元才刚好不亏损,此时的预算成本与产值的比例为0.88,单位产值变动成本率为0.7,则固定成本为( )万元。 A.7...
admin
2020-12-24
1
问题
某施工企业实现产值5000万元才刚好不亏损,此时的预算成本与产值的比例为0.88,单位产值变动成本率为0.7,则固定成本为( )万元。
A.7000万
B.800
C.6000
D.900
选项
答案
D
解析
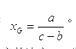
盈亏分界点产值计算公式为:
式中,a为当期固定成本总额;b为单位产值变动成本率;c为预算成本与产值比率;xG为盈亏分界点产值,即预算成本与实际成本相等的保本点产值。即:a=5000×(0.88-0.7)=900(万元)。
转载请注明原文地址:https://ti.zuoweng.com/ti/Aab8KKKQ
相关试题推荐
单位阶跃函数信号ε(t)具有: A.周期性B.抽样性C.单边性D.截断性
单位冲激信号δ(t)是: A.奇函数B.偶函数 C.非奇非偶函数D.奇异函数,无奇偶性
能量方程中表示下述哪种能量? A.单位重量流体的势能 B.单位重量流体的动能C.单位重量流体的机械能 D.单位质量流体的机械能
图示单元体中应力单位为MPa,则其最大剪应力为: A.60B.-60C.20D.-20
已知钢杆AB和铝杆CD的尺寸相同,且其材料的剪切弹性模量之比GAB:GCD=3:1,BF和ED杆为刚性杆。则荷载P分配于BF和ED杆上的比例是: A...
将0.2mol/L的醋酸与0.2mol/L醋酸钠溶液混合,为使溶液pH值维持在4.05,则酸和盐的比例应为(Ka=1.76X10-5): A....
一定量的理想气体,在P-T图上经历一个如图所示的循环过程(a→b→c→d→a),其中a→b、c→d两个过程是绝热过程,则该循环的效率η等于: A.7...
已知某理想气体的体积为V,压强为p,温度为T,k为玻耳兹曼常量,R为摩尔气体常量,则该理想气体单位体积内的分子数为: A.pV/(kT)B.p/(...
两瓶不同类的理想气体,其分子平均平动动能相等,但它们单位体积内的分子数不相同,则这两种气体的温度和压强关系为: A.温度枏同,但压强不同 B.温度不...
在麦克斯韦速率分布律中,速率分布函数f(v)的意义可理解为: A.速率大小等于v的分子数 B.速率大小在v附近的单位速率区间内的分子数 C.速率大小...
随机试题
室内地面的水泥混凝土垫层,应设置纵向缩缝和横向缩缝,纵向缩缝间距不得大于6m,横
锻造机械结构应保证设备运行、安装、拆卸和检修等过程中的安全。下列关于安全措施的说
动物性食品基本不含维生素B12。( )
对急性胆囊炎患者进行腹部触诊,最常见的压痛点在()
通过两台以上同型号GPS接收机同时接收同一组卫星信号,下列误差中,无法削弱或
专业软件销售人员由于需要较高的专业知识且销售工作的周期较长,所以其薪酬应采用()
细支气管不完全阻塞所致的阻塞性通气障碍可造成()。 A.肺不张 B.肺纤维化
建设工程采用平行承包模式时,建设单位控制工程造价难度大的原因有()。A.合同价值小,建设单位选择承包单位的范围小B.合同数量多,组织协调工作量大C.总合同
设备保温层施工时,其保温制品的层厚大于100mm时,施工要点有()A.分为两层施工B.分为多层逐层施工C.各层的厚度宜接近D.保温层拼缝宽度不应大于50
甲股份有限公司(以下简称“甲公司”)系一家上市公司,2018年至2020年对乙股份有限公司(以下简称“乙公司”)股权投资业务的有关资料如下: (1)20...