首页
财务会计
医药卫生
金融经济
考公考编
外语考试
学历提升
职称考试
建筑工程
IT考试
其他
登录
建筑工程
发电厂、变电站中,照明线路的导线截面应按计算电流进行选择,某一单相照明回路有2只200W的卤钨灯和2只150W的气体灯,下列哪项数值是正确的?( ) (...
发电厂、变电站中,照明线路的导线截面应按计算电流进行选择,某一单相照明回路有2只200W的卤钨灯和2只150W的气体灯,下列哪项数值是正确的?( ) (...
admin
2020-12-24
13
问题
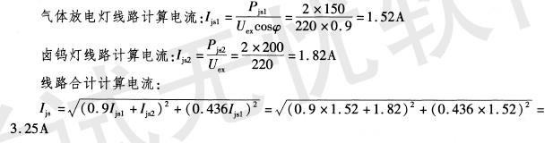
发电厂、变电站中,照明线路的导线截面应按计算电流进行选择,某一单相照明回路有2只200W的卤钨灯和2只150W的气体灯,下列哪项数值是正确的?( )
(A)3.45 (B)3.82 (C)4.20 (D)3.25
选项
答案
D
解析
依据:《火力发电厂和变电站照明设计技术规定》(DL/T 5390—2007)第10.6.1条及相关公式。
转载请注明原文地址:https://ti.zuoweng.com/ti/Bkb0KKKQ
相关试题推荐
肺主一身之气体现在A.吸入清气B.呼出浊气C.宣发卫气D.助心行血E.生成宗气和调节气机
下列()曲线描述了导体的经济电流密度与最大负荷利用小时数的关系。
下列()截面形状布置的导体集肤效应系数较小。
导体长期工作允许电流值的确定通常来自导体()性态。 (A)机械强度(B)发热与散热能力(C)老化周期(D)抗腐蚀能力
下列()为短路发生后的元件电流波形。
下列()为系统中常用的限制短路电流措施。 (A)适当限制IN类负荷发展、加装电抗器 (B)采用适当的接线形式、加装电抗器、母线分列运行 (C)加装电...
以下关于系统中的断路器与隔离开关描述正确的是()。 (A)断路器与隔离开关均作为断路设备,工作特点相同 (B)断路器不具有开断电流能力,隔离开关具有开...
外桥形接线适用于下列()场合。 (A)系统短路电流较大 (B)内部系统检修频繁 (C)外部系统经常切换或有较大穿越功率流过 (D)系统发展较快
—台他励直流电动机额定数据为UN=220V,IN=40A,nN=1000r/min,电枢回路电阻Ra=0.5Ω,在负载转矩不变的情况下,当电压下降到U=1...
—台并励直流电动机的额定数据为:PN=7.5kW,UN=110V,nN=1000r/min,ηN=82.9%,电枢回路电阻Ra=0.15Ω,励磁回路电阻R...
随机试题
在杏花村酒史博物馆院内,\"古井亭\"的井壁上\"得造花香\"的书者是( )。 A、
上厕所也很方便的步行器是 A.单侧步行器 B.交互型步行器 C.固定型步行
我国面临很大的资源环境压力,其重要背景是因为我国正处在()
“假个贷”主要成因包括( )。
下列哪个不是恶性肿瘤A.无性细胞瘤B.精原细胞瘤C.畸胎瘤D.淋巴瘤E.白血病
背景 某建设单位在机场场道工程施工中,在与当地政府签订的协议时,由于没有提供当地的地质情况,施工中设计发生重大变化,且施工单位使用了大量重型机械,承担...
乳腺肿块单发,质地坚硬,凹凸不平,边界不清,推之不移,按之不痛,可与皮肤粘连的是A.乳痈B.乳漏C.乳癖D.乳核E.乳岩
具“狮子盘头”特征的药材是A:防风B:银柴胡C:太子参D:羌活E:党参
甲乙丙因共同故意杀害丁被追诉,丙在逃,甲乙依法被判处死刑立即执行,在执行过程中,下列表述正确的有:A.执行法院在执行前发现乙还涉嫌另外一起诈骗犯罪,应当暂停对甲
用重置成本法计算森林景观资产的评估值,重置成本指的是( )。A、林地的重置成本B、旅游设施的重置成本C、森林的重置成本D、折旧的重置成本E、土地使用权的