首页
财务会计
医药卫生
金融经济
考公考编
外语考试
学历提升
职称考试
建筑工程
IT考试
其他
登录
建筑工程
下列广义积分中收敛的是( )。
下列广义积分中收敛的是( )。
admin
2020-12-24
42
问题
下列广义积分中收敛的是( )。
选项
答案
B
解析
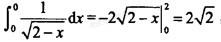
提示:因为
,其他三项积分都不收敛。
转载请注明原文地址:https://ti.zuoweng.com/ti/DRn0KKKQ
相关试题推荐
龙骨与磁石的相同功效是A.清热解毒B.收敛止汗C.聪耳明目D.平肝潜阳E.活血散瘀
白及具有的功效是A.化瘀止血B.凉血止血C.收敛止血D.温经止血E.益气摄血
既能收敛止血,又能消肿生肌的药物是A.三七B.茜草C.蒲黄D.白及E.白茅根
酸味药的作用是A.收敛固涩B.活血行气C.疏肝解郁D.利水渗湿E.泻下通便
辛味药的作用是A.补益,软坚B.发散,行气C.燥湿,通泄D.收敛,固浬E.软坚,缓急
火邪的性质和致病特点是A.易伤阳气,使气机升降失常B.使气机收敛,故无汗C.多易伤肺D.易生风动血E.易于引起流行
后天之精指的是A.狭义之精B.水谷之精C.广义之精D.脏腑之精E.血、津液及髓
用积分法计算图5-42所示梁的挠度,其边界条件和连续条件为()。
由同一种材料组成的变截面杆的横截面面积分别为2A和A,受力如图5-7所示,弹性模量为E。下列结论中正确的为()。 A.截面D位移为0B.截...
如图5-6所示结构中二杆的材料相同,横截面面积分别为A和2A,以下四种答案中该结构的许用载荷为()。 A.[F]=A[a]B.[F]=2A[σ]
随机试题
责任疫情报告人的确切定义是 A.分工负责疫情的医院院长 B.医生和护士 C
脾经在循行中,未与以下何处发生联系 A、舌 B、咽 C、膈 D、肝 E
某股份公司董事长由上一级单位的总经理担任,长期在外地。该公司的总经理在党校脱产
土工布物理特性检测项目有()。
在处理局部麻醉注射后出现局部血肿并发症措施中,错误的是
功能凉血止血,尤善治尿血、血淋的药物是
下列关于固定义齿基牙选择要求叙述正确的是()A.应考虑基牙的固位作用和基牙的支持作用B.应考虑基牙的支持作用和基牙的共同就位道C.应考虑基牙的支
下列机构中,属于我国股权投资基金行业自律组织机构的是()。A.中国证监会B.中国证券业协会C.国家发展改革委D.中国证券投资基金业协会
Pandemic(大面积流行的)H1N12009 Themostactiveareasofpandemicinfluenzatran...
下列属于个人汽车贷款受理、调查环节操作风险的是()。A.借款申请人的主体资格不符合银行有关规定B.业务风险与效益不匹配C.未按规定办妥公证事宜D.借款人