首页
财务会计
医药卫生
金融经济
考公考编
外语考试
学历提升
职称考试
建筑工程
IT考试
其他
登录
外语考试
A
A
Freeti
2019-12-17
9
问题
选项
答案
A
解析
[img]/upload/tiku/73/11188502_1.png[/img]
转载请注明原文地址:https://ti.zuoweng.com/ti/DwjEKKKQ
相关试题推荐
某独立土方工程,招标文件中估计工程量为23万m3,合同中规定,土方工程单价为11
通常所说的建设项目竣工验收,是指()。
某建设项目及其主要生产车间的有关费用是:建设项-竣工决箅的建筑工程费、安装工程费
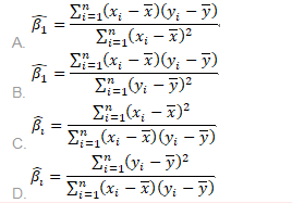
寿命周期成本评价的费用效率法中,正确的表达式为()。
对将会出现的各种不确定性及其可能造成的各种影响和影响程度进行恰如其分的解析和评估
盈亏平衡解析分线性盈亏平衡解析和非线性盈亏平衡解析。其中,线性盈亏平衡解析的前提
工程量清单计价方法与定额计价法相比,两种模式的最大差别是()。
在偏差分析的方法中,具有适用性强、信息量大、可以反映各种偏差变量和指标且有助于用
根据同务院279号令《建设工程质量管理条例》,建设工程保修期自()之日计算。
工程建设定额能正确地指导客观的交易行为,其客观基础是定额的()。
随机试题
设计枯水流量条件下,某河段控制断面A上游2个可控点源排放氨氮在断面A的浓度贡献不
单人、双人操作成人胸外按压与人工呼吸的比例分别为 A.5:1,15:2 B.
(1)常用清水煮的药物是
股权投资基金成为运作股权投资业务的主体,需要具备一定的组织形式。影响组织形式选择
汇款人办理信汇时,如果是交付现金汇款,应该向银行另填制( )。
什么时期居住在高氟区可患氟牙症
地面沉降的勘察宜( )。
根据《施工合同》,合同进度计划的主要作用有( )。 A、监理人确认承包人逾期
A、12 B、16 C、20 D、24A、12B、16C、20D、24
团结协作与相互激励公平竞争是矛盾的。( )