首页
财务会计
医药卫生
金融经济
考公考编
外语考试
学历提升
职称考试
建筑工程
IT考试
其他
登录
财务会计
A
A
tikufree
2019-12-17
14
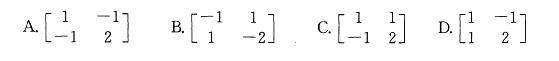
问题
选项
答案
A
解析
[img]/upload/tiku/233/5183799_1.jpg[/img]
转载请注明原文地址:https://ti.zuoweng.com/ti/EidlKKKQ
相关试题推荐
电路如图所示,已知交流电压表V1的读数为3V,V2的读数为4V,则电压表V的读数
如图所示贮水设备,在点C测得绝对压强P=196120Pa,h=1m,R=lm,则
如图所示,两细长压杆除图(b)所示压杆在跨中点增加一个活动铰链外,其他条件均相同
四种不同截面的悬臂粱,在自由端的受力方向如图所示。C为形心,S为弯曲中心,则可以
变截面圆轴如图所示。已知T1=2kN·m,T2=1kN·m,G=80GPa,此轴
如图所示结构由三个横截面积为A的铆钉连接两块钢板而成,图中尺寸均为mm,则铆钉的
则下列结论中正确的是( )。
各重为P的两物块A和B用绳连接并将此绳缠绕在均质滑轮O上,如图所示,如滑轮半径为
如图,在铅直面内有一圆板刻有三道光滑细槽AD、BD、CD,AD槽沿铅直方向,长为
如图半径为R的滑轮上绕一绳子,绳与轮间无相对滑动。绳子一端挂一物块,在图示位置物
随机试题
已知甲企业是我国的居民企业。根据企业所得税法律制度的规定,甲企业取得的下列收入中
统计行政规章是指国务院各部委和具有行政管理权的国务院直属机构制定的统计行政规章。
拥有二次点价权的一方在第一次点价后,必须行使另一次点价权。( )
对伤口湿热敷,最需要注意的问题是
甲公司在办公家具、手推车、摇椅上注册了“永流”商标。2019年9月11日,甲公司向商标局提交注销申请书,申请注销“永流”商标在手推车上的注册。同日,商标局...
规定商业银行合规风险管理的基本方针和指导思想是()。A.合规制度B.合规体系C.合规法律D.合规政策
少数人服用苯巴比妥引起兴奋、躁狂,这种现象属于A:药物不良反应B:药物停药效应C:药物变态反应D:特异质反应E:药物毒性作用
潜伏期延长A从规律宫缩开始,经16小时宫口扩张至2cmB初产妇宫口开全2小时尚未分娩C宫口在开至5cm后,2小时仍5cmD8小时前宫口扩张3cm
黄连配伍吴茱萸的意义在于A:既清热泻火燥湿B:又疏肝和胃制酸C:用于湿热黄疸效佳D:治阴虚火旺效佳E:用于肝火犯胃、湿热中阻之呕吐反酸
我国出口贸易实践中,当采用CIF条件和信用证支付方式时,出口合同履行中最重要的四个环节是()。A:货、证、运、款B:货、证、运、险C:货、运、险、款D:证