首页
财务会计
医药卫生
金融经济
考公考编
外语考试
学历提升
职称考试
建筑工程
IT考试
其他
登录
建筑工程
某温度下,下列反应的平衡常数
某温度下,下列反应的平衡常数
admin
2020-12-24
9
问题
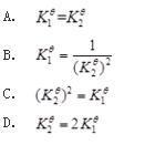
某温度下,下列反应的平衡常数
选项
答案
B
解析
转载请注明原文地址:https://ti.zuoweng.com/ti/F8QCKKKQ
相关试题推荐
某天然岩块质量为134.00g,在105~110℃温度下烘干24h后,质量为128.00g。然后对岩块进行蜡封,蜡封后试样的质量为135.00g,蜡封试样...
对饱和软黏土进行开口钢环式十字板剪切试验,十字板常数为129.41m-2,钢环系数为0.00386kN/0.01mm。某一试验点的测试钢环读 数记录如表...
图所示刚架,EI=常数,结点A的转角是( )。(提示:利用转动刚度的概念)
关于c、φ参数,下面说法错误的是( )。A.c、φ是描述土的抗剪强度的两个参数,同一种土是常数B.c值反映了土颗粒之间的联结能力,塑性指数愈大,土的凝聚力愈
用图乘法求位移的必要应用条件之一是( )。A.单位荷载下的弯矩图为一直线B.结构可分为等截面直杆段C.所有杆件El为常数且相同D.结构必须是静定的
关于c、φ参数,下面说法错误的是( )。A.c、φ是描述土的抗剪强度的两个参数,同一种土是常数B.c值反映了土颗粒之间的联结能力,塑性指数愈大,土的凝聚力愈
混凝土强度是在标准养护条件下达到标准养护龄期后测量得到的,如实际工程中混凝土的环境温度比标准养护温度低了10℃,则混凝土的最终强度与标准强度相比( )。A.一
下列说法错误的是( )。A.液限愈大,土的粘性愈大B.缩限愈大,土的收缩性愈大C.对同一种土,土的缩限、塑限、液限是常数,与土的天然含水量无关D.土的含
下面关于沉降缝的说法,正确的是( )。 (1)沉降缝应设在温度和收缩变形可能引起的应力集中的地方; (2)沉降缝应设在高度相差较大或荷载差异...
图示结构EI=常数,A点的竖向位移(向下为正)为( )。 {图}A.20Pl3/(3EI)B.16Pl3/(3EI)C.-8Pl3/(3EI)D.8P
随机试题
按照定员标准的综合程度,企业定员标准可分为( ) A、比例定员标准 B、效
采用锚喷支护主要作用为()。(2013真题)
在全面实施建造师执业资格制度后仍然要坚持落实项目经理岗位责任制,项目经理岗位不是
某钢平台改造设计时,梁与柱的连接采用10.9级摩擦型高强螺栓连接,采用标准圆孔,
作为盾构始发与到达安全控制要点之一,拆除洞口临时围护结构前,必须确认(),以确保
下列关于货币政策的说法,正确的是()。 A.货币政策是国家调节和控制宏观经济的唯一手段 B.公开市场业务、存款准备金政策、汇率政策被称为货币政策的“...
属于中国画的“三远法”的是()。A.高平深B.高宽深C.高宽广D.高宽平
对地高辛过量中毒引起的心动过速,哪一项是不应采取的措施 A用呋塞米加速排出B停药C给氯化钾D给苯妥英钠E给地髙辛的特异性抗体
理财师评估客户理财目标的可行性和合理性时一般会出现三种情况.以下与三种情况不符的是( )。A.客户的目标定得太低。导致生活品质没有能体现出客户的财富水平B.
下列各项中,属于制造费用核算内容的有( )。A.车间生产工人工资B.车间管理人员薪酬C.车间固定资产折旧费D.季节性停工损失