首页
财务会计
医药卫生
金融经济
考公考编
外语考试
学历提升
职称考试
建筑工程
IT考试
其他
登录
医药卫生
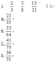
D前一项的分母加分子等于后一项的分子;前一项的分母的2倍加分子等于后一项的分母。
D前一项的分母加分子等于后一项的分子;前一项的分母的2倍加分子等于后一项的分母。
昕玥
2019-12-17
5
问题
选项
答案
D
解析
前一项的分母加分子等于后一项的分子;前一项的分母的2倍加分子等于后一项的分母。
转载请注明原文地址:https://ti.zuoweng.com/ti/FFvNKKKQ
相关试题推荐
从商品本身的组成成分、分子结构及其所具有的物理性质、化学性质和机械性质来看,固态
D前一项的分母加分子等于后一项的分子;前一项的分母的2倍加分子等于后一项的分母。
(1)生命单体(2)原始水生物(3)生物大分子(4)简单有机物(5)地球
科学家利用卫星进行了有关实验:一些星际空间的小分子物质在太阳紫外线照射下生成了氨
生物分子计算机是一种用生物分子元件组装成的纳米级计算机,将其植入人体能自动扫
作为美国最著名的公共知识分子之一,戴蒙德是一位高度关怀人类总体历史、现状和未来
中国知识分子看到改造中国的新路径,提出“到民间去”的号召,并开始深人到工人中间
“钓鱼网站”是一种网络欺诈行为,指不法分子利用各种手段,仿冒真实网站的URL地址
科学家在地面实验室的实验表明,一些小分子物质经紫外线照射可以生成氨基酸。光谱分析
从重从快惩处严重刑事犯罪分子的前提是( )
随机试题
资产组合的收益-风险特征如图5-2所示,下列说法中错误的是( )。 A
(75-76题共用题干) 患者,男性,38岁,因间歇性腹痛、腹泻2年,加重10
男性,30岁。节律性中上腹痛3年,近2天柏油样便来门诊,体检:血压18/10kP
痰气郁结型郁证的治法为 A、疏肝解郁,清肝泻火 B、疏肝解郁,理气畅中 C
王某、赵某于2007年1月7日共同抢劫个体户李某,在抢劫中,持匕首刺中李某的腹部
从社会工作者的角度来说,()是社会工作者运用专业的知识、方法与技巧协助服务对象
奥美拉唑抑制胃酸分泌的机制是 A阻断H2受体 B抑制胃壁细胞H+泵的功能 C阻断M受体 D阻断促胃液素(胃泌素)受体 E直接抑制胃酸分泌
申请领取房屋拆迁许可证,应当向房屋所在地的市、县人民政府房屋拆迁管理部门提交的资料有()。A、建设用地规划许可证B、开工证明C、国有土地使用权
下列情形中,最不可能引起社会存款增加的是()A:存款利率上升B:发生通货膨胀C:收入水平上升D:证券投资风险增大
下列关于信息技术一般控制、应用控制与公司层面控制三者之间的关系的说法,错误的是( )。A.公司层面信息技术控制决定了信息技术一般控制和信息技术应用控制的风险基