首页
财务会计
医药卫生
金融经济
考公考编
外语考试
学历提升
职称考试
建筑工程
IT考试
其他
登录
金融经济
A: B: C: D: E:{图5}
A: B: C: D: E:{图5}
天天题库
2020-05-20
6
问题
A:
B:
C:
D:
E:{图5}
选项
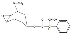
(7) 、属于花色素的是
答案
A
解析
A为花色素类,属于黄酮类化合物;B橙酮类,C的化学结构为东莨菪碱,因此属于生物碱类化合物;D为环烯醚萜醇,属于萜类,E属于黄酮醇类。
转载请注明原文地址:https://ti.zuoweng.com/ti/G9WMKKKQ
相关试题推荐
链球菌感染后肾小球肾炎常发生何型变态反应 A、Ⅰ型 B、Ⅱ型 C、Ⅲ型
补体活性片段中的趋化因子是 A、C2a B、C5a C、C4a D
初次注入大量抗毒素的马血清所引起血清病的发病机制属于 A、Ⅰ型超敏反应 B
我国现行个人所得税采用的税制类型是()。 A.分类所得税制 B.综合
发生Ⅲ型超敏反应性疾病的始动环节是 A、大分子免疫复合物沉积在毛细血管基底膜
A.120~140次/分 B.110~130次/分 C.100~120次/分
甲公司共有股权1000万股,为了将来有更好的发展,将80%的股权让乙公司收购,然
某居民企业对原价1000万元的机器设备(使用年限10年,不考虑净残值),使用8年
无需抗体参与的超敏反应是 A、重症肌无力 B、Goodpasture综合征
结核菌素试验属于 A、Ⅰ型超敏反应 B、Ⅱ型超敏反应 C、Ⅲ型超敏反应
随机试题
心律失常的治疗组合中,下列错误的是 A.三度房室传导阻滞伴短阵室性心动过速--
患者,女,55岁。分段诊刮确诊为子宫内膜癌;宫腔长9cm,宫颈无癌侵犯,腹腔冲洗
对于收益性房地产来说,建筑物的经济寿命是()。
由国务院核定的不可移动文物的级别是()。
站用直流充电装置出厂验收:每个成套充电装置应有()路交流输入(分别来自不
“5S”活动是加强现场管理的方法,其核心是( )
市场定位是通过为自己的产品创立鲜明的特色或个性,塑造出独特的市场形象来实现的。下
促使现有商品流通企业间的竞争状况变得更加激烈的情况有()。
1{pz_填空}直观给人以真实感、亲切感,它有利于激发学生的学习兴趣,调动学生学习的积极性。
()不是信托的作用机制。A:风险隔离B:资产保全C:第三方管理D:权益重构