首页
财务会计
医药卫生
金融经济
考公考编
外语考试
学历提升
职称考试
建筑工程
IT考试
其他
登录
金融经济
下列公式不正确的是( )。
下列公式不正确的是( )。
admin
2020-12-24
8
问题
下列公式不正确的是( )。
选项
答案
D
解析
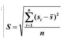
D项,样品标准差计算公式应为:
转载请注明原文地址:https://ti.zuoweng.com/ti/GRS0KKKQ
相关试题推荐
国民经济偿债率的计算公式为()。A.国民经济偿债率=当年公债还本付息额/当年国内生产总值100%B.国民经济偿债率=公债余额/国内生产总值100%C.
用复利法计算第n期末终值的计算公式为()。A.FV=PV(1+in)B.PV=FV(1+in)C.PV=FV(1+i)^nD.FV=PV(1+i)^n
市销率用公式表达为()。A.市销率=每股市价每股净资产B.市销率=每股市价每股收益(年化)C.市销率=每股收益(年化)每股市价D.市销率=股票市价销售收
以下关于单利和复利的说法,错误的选项是()。A.按照复利的计算方法,每经过一个计息期,要将所生利息加入本金再计利息B.单利终值的计算公式为FV=PV(1+
基金单位资产净值的计算公式为()。A.NAV=期末基金资产净值/预计发行的基金总份额B.NAV=期末基金净资产收益率/预计发行的基金总份额C.NAV=期末基
在下行风险标准差的计算公式中,期数n代表()。A.投资期限B.真实基金收益率大于投资者预期收益率的期数C.真实基金收益率等于投资者预期收益率的期数D.真实
用复利计算第11期终值的公式为()。A、FV=PV(1+in)B、PV=FV(1+in)C、FV=PV(1+i)nD、PV=FV(1+i)n
跟踪偏离度的计算公式是()。A、跟踪偏离度=证券组合的真实收益率+基准组合的收益率B、跟踪偏离度=证券组合的真实收益率-基准组合的收益率C、跟踪偏离度=证
主动收益的计算公式为()。A、主动收益=证券组合的真实收益+基准组合的收益B、主动收益=证券组合的真实收益-基准组合的收益C、主动收益=证券组合的真实收益
市盈率用公式表达为()。A、市盈率=每股市价/每股净资产B、市盈率=股票市价/销售收入C、市盈率=每股收益(年化)/每股市价D、市盈率=每股市价/每股收
随机试题
(26-29题共用备选答案) A.希氏束 B.房室结 C.左、右束支 D
下列业务在相关资产处置或结算时会结转计入损益的有()
63kV及以下高压隔离开关相间距离小于厂家规定尺寸时须校验()。
下列关于传染病报告说法错误的是
近年来,我国中小学音乐课程在许多地区还是没有受到足够的重视,教材内容不能与时俱进
长期服用避孕药产生的不良反应不包括
项目清偿能力分析的目的之一是分析项目的还款能力。()
今年3月20日,尚建军副市长在全市公安机关会议强调,要把大数据服务实战,重点强化深度应用。
典型慢性肾功能不全时的水电解质紊乱是A代谢性酸中毒、低血钙、高血磷、高血钾B代谢性酸中毒、低血钙、低血磷、髙血钾C代谢性酸中毒、低血钙、低血磷、髙血钠
下列投资决策评价指标中,无法反映项目收益情况的是()。A.净现值B.获利指数C.内部报酬率D.投资回收期