首页
财务会计
医药卫生
金融经济
考公考编
外语考试
学历提升
职称考试
建筑工程
IT考试
其他
登录
建筑工程
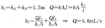
上、下游水箱中间有一连接管,水箱水位恒定,见图21。连接管内充填两种不同的砂层(k1=0.003m/s,k2=0.001m/s),管道断面积为0.01m2...
上、下游水箱中间有一连接管,水箱水位恒定,见图21。连接管内充填两种不同的砂层(k1=0.003m/s,k2=0.001m/s),管道断面积为0.01m2...
admin
2020-12-24
2
问题
上、下游水箱中间有一连接管,水箱水位恒定,见图21。连接管内充填两种不同的砂层(k1=0.003m/s,k2=0.001m/s),管道断面积为0.01m2,渗流量为( )。
选项
A 4.8mL/s
B 3.2mL/s
C 5.3mL/s
D 2.4mL/s
答案
A
解析
转载请注明原文地址:https://ti.zuoweng.com/ti/GlQCKKKQ
相关试题推荐
某建筑场地,地面下为中密中砂,其天然重度为18kN/m3,地基承载力特征值为200kPa,地下水位埋深1.0m,若独立基础尺寸为3m×2m,埋深2m,需进...
均匀深厚地基上,宽度为2m的条形基础,埋深1m,受轴向荷载作用。经验算地基承载力不满足设计要求,基底平均压力比地基承载力特征值大了20kPa;已知地下水位...
某抽水试验,场地内深度10.0~18.0m范围内为均质、各向同性等厚、分布面积很大的砂层,其上下均为黏土层,抽水孔孔深20.0m,孔径为200mm,滤水管...
某公路工程场地地面下的黏土层厚4m,其下为细砂,层厚12m,再下为密实的卵石层,整个细砂层在8度地震条件下将产生液化。已知细砂层的液化抵抗系数Ce=0.7...
某湿陷性砂土上的厂房采用独立基础,基础尺寸为2m×1.5m,埋深2.0m,在地上采用面积为0.25m2的方形承压板进行浸水载荷试验,试验结果如下表。按照《...
在地下水位很深的场地上,均质厚层细砂地基的平板载荷试验结果如下表所示,正方形压板边长为b=0.7m,土的重度γ=19kN/m3,细砂的承载力修正系数ηb=...
已知某场地地层条件及孔隙比e随压力变化拟合函数如下表,②层以下为不可压缩层,地下水位在地面处,在该场地上进行大面积填土,当堆土荷载为30kPa时,估算填土...
某场地为细砂层,孔隙比为0.9,地基处理采用沉管砂石桩,桩径0.5m,桩位如图所示(尺寸单位:mm),假设处理后地基土的密度均匀,场地标高不变,问处理后细...
在均匀砂土地层进行自钻式旁压试验,某试验点深度为7.0m,地下水位埋深为1.0m,测得原位水平应力σh=93.6kPa;地下水位以上砂土的相对密度ds=2...
某基坑开挖深度为10m。坡顶均布荷载=20kPa,坑外地下水位于地表下6m,采用桩撑支护结构、侧壁落底式止水帷幕和坑内深井降水。支护桩为F800钻孔灌注桩...
随机试题
下面关于1949年中华人民共和国成立后新民主主义社会的性质表述正确的是( )。
最方便、快捷、传达准确率高的随诊方式是()。 A.电话随诊 B.家访 C.
我国西南地区某地级市,其南部为丘陵,北部为山区,山区经济以农林为主。受地形条件影
借记卡的特点包括()。
女性,58岁,间歇无痛肉眼血尿2个月余。查体未发现异常。肾脏B超提示右肾中下极4
根据《账户管理办法》的规定,存款人应向开户银行提出撤销银行结算账户申请的情形有(
下列因素中,( )不是定期评估频率的主要决定因素。A.客户的投资金额B.客户个人财务状况变化幅度C.客户的投资风格D.家庭人口结构
两个幼儿之间聊天的言语类型是( )。A.口头言语B.书面言语C.内部言语D.外部言语
乳腺癌最常见的发生部位是 A外上象限B外下象限C内上象限 D内下象限E乳头部
宏观经济政策对投资理财具有实质性的影响,下列说法正确的是()。A.国家减少财政预算,会导致资产价格的提升B.在股市低迷时期,提高印花税可以刺激股市反弹C.法