首页
财务会计
医药卫生
金融经济
考公考编
外语考试
学历提升
职称考试
建筑工程
IT考试
其他
登录
职称考试
定积分的值是( )。A、25π/4 B、25π/2 C、25π/6 D、9π/4
定积分的值是( )。A、25π/4 B、25π/2 C、25π/6 D、9π/4
admin
2020-12-24
23
问题
定积分
的值是( )。
选项
A、25π/4
B、25π/2
C、25π/6
D、9π/4
答案
A
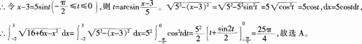
解析
转载请注明原文地址:https://ti.zuoweng.com/ti/JIH8KKKQ
相关试题推荐
阅读下列教学片段,回答问题。 本学期,姜老师制定了一套积分评价制度,通过对学生的课堂表现、作业及小组合作等各方面进行积分量化来综合评定学生一学期的信息...
数学发展史上曾经历过三次危机,触发第三次数学危机的事件是()。A.无理数的发现B.微积分的创立C.罗素悖论D.数学命题的机器证明
下列哪位数学家不是微积分的创始人()。A、伽罗华B、牛顿C、费尔马D、莱布尼茨
积分的值是()。A、1B、Π/4C、Π/2D、1/2
定积分的值是()。A、25π/4B、25π/2C、25π/6D、9π/4
牛顿和()创立的微积分开创了数学的新领域:分析学。微积分将以难以解决的两个几 何问题(曲线切线问题和曲线所围面积问题)解决了,把这些问题简化为计算问题。A.
计算二重积分
牛顿和()创立的微积分开创了数学的新领域:分析学。微积分将以难以解决的两个几何问题(曲线切线问题和曲线所围面积问题)解决了,把这些问题简化为计算问题。A、笛卡
求不定积分
微分符号“d”、积分符号“∫”的首先使用者是( )A、牛顿B、莱布尼茨C、开普勒D、卡瓦列里
随机试题
患儿,女性,11岁,牙列,关系为轻度近中,为腭向错位,SNA81角,SNB79角
(2018年)将建筑物的广告位出租给其他单位用于发布广告,应按照“广告服务”税目
某工业生产场所,长60m、宽24m、灯具安装高10m,照度标准值2001x,维护
教育学就是国家的教育方针政策。
进口商品有下列( )情形的,应当转单至商品到达地实施检验鉴定。 A.散装进口
在处方书写中,缩写词“ac.”代表的含义是A:每日6次B:饭前C:睡前D:每日2次E:饭后
在房地产经纪服务合同中,双方约定的定金数额不应超过佣金的( )。A.10%B.15%C.20%D.25%
依据《道路交通安全法》的规定,下列说法正确的是()。A.在车辆较少时,可以超过限速标志标明的最高时速B.电动自行车在非机动车道内行驶时,最高时速不得超过20
下列哪种情况不属于二审法院应当发回重审的情形:() A.一审判决、裁定事实不清证据不足B.—审审判组织不合法 C.违反公开审理的规定D....
甲公司、乙公司和丙公司均为增值税一般纳税人。有关资料如下: (1)2019年5月10日,经与丙公司协商,甲公司以一项专利权和对丁公司股票投资(作为其他权...