首页
财务会计
医药卫生
金融经济
考公考编
外语考试
学历提升
职称考试
建筑工程
IT考试
其他
登录
职称考试
一质量为m的小球,从高出水面h处的A点自由落下,如图6所示。已知小球在水中受到的黏滞阻力与小球的运动速率v成正比(比例系数为k)。设小球在水中的浮力忽略不...
一质量为m的小球,从高出水面h处的A点自由落下,如图6所示。已知小球在水中受到的黏滞阻力与小球的运动速率v成正比(比例系数为k)。设小球在水中的浮力忽略不...
admin
2020-12-24
3
问题
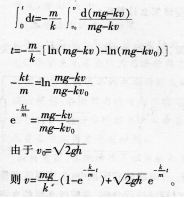
一质量为m的小球,从高出水面h处的A点自由落下,如图6所示。已知小球在水中受到的黏滞阻力与小球的运动速率v成正比(比例系数为k)。设小球在水中的浮力忽略不计,以小球恰好垂直落入水中时为计时起点(t=O)。求小球在水中的运动速率v与时间t的关系:
选项
答案
解析
设小球从高出水面h处落入水中的速度为”v0”
对两边进行积分
转载请注明原文地址:https://ti.zuoweng.com/ti/JMt8KKKQ
相关试题推荐
决定可用的外设和与外设交换数据的速度的是______。A.输入/输出数据传输速率B.内存容量C.外存容量D.运算速度
辅警的招聘计划原则上按照不高于在职在编人民警察的比例配置。
贯彻新发展理念,建设现代化经济体系,必须坚持质量第一、效益优先,以供给侧结构性改革为主线。正确
提高就业质量和人民收入水平,鼓励勤劳守法致富,就要()。 A.扩大中等收入群体 B.增加低收入者收入 C.调节过高收入 D.取缔非法收入
辅警的招聘计划原则上按照不高于在职在编人民警察的(A)比例配置。A1:1B1:2C1:3D1:4
下列有关新文化运动的表述错误的是()。A.增强民众的民主自由观念B.激励人们开拓进取.奋发向上C.很好地融合了中西方思想文化D.为马克思主义在中国传播创造
下面是“新文化运动”讲授过程中的师生对话: 生:在新文化运动中,北洋军阀政府为什么不阻止危及他们统治的言论? 师:同学们思考一下,谁能回答这个问题?请...
中国近代史是一部各种政治力量相互博弈的历史。下列历史事件出现的先后顺序依次是()。 ①武昌起义②护国战争 ③第一次护法运动④张勋复辟A.①②③④B.①③④
标志着第三世界国家作为独立的政治力量登上国际舞台的事件是()。A.亚非独立国家的万隆会议B.不结盟运动兴起C.美苏对峙的两极格局结束D.亚太经合组织建立
结合下表的内容可知,这种文化现象发生在()。 A.辛亥革命前期B.辛亥革命后期C.“五四”运动前D.“五四”运动后
随机试题
室外地面的水泥混凝土散水,应设置伸缩缝,其延米间距不得大于()m,房屋转角处应做
图示一流线夹角很小、曲率很小的渐变流管道,A-A为过流断面,B-B为水平面,1、
能够封锁一个场地的四周或封锁探测几个主要通道,还能远距离进行线控报警,应选用的入
在完成心理测验时,常见的反应定势主要包括()。多选
某4层办公大楼,耐火等级为二级,建筑高度为16米,每层建筑面积为1000m2,两
以下关于物业服务企业资质等级的表述中,不正确的是()。
马钱子及含马钱子的中成药中毒解救可用A.服用牛奶、蛋清、豆浆、药用炭等B.以土茯苓煎汤饮C.以生姜捣汁、鲜芦根捣汁内服D.可用肉桂煎汤或甘草煎汤饮服E
甲、乙签订一份二手房房屋买卖合同,约定:“本合同一式三份,经双方签字后生效。甲、乙各执一份,留见证律师一份,均具有同等法律效力。”关于该条款,下列哪一选项...
TheFire Acouple,JohnandMary,hadtwolovelychildren.Johnhadjustbe...
下列各项中,属于企业应当在所有者权益变动表中至少应当单独列示反映的项目有()。A.综合收益总额B.所有者投入资本和向所有者分配利润等C.提取的盈余公