首页
财务会计
医药卫生
金融经济
考公考编
外语考试
学历提升
职称考试
建筑工程
IT考试
其他
登录
财务会计
A.2 B.4 C.8 D.16D
A.2 B.4 C.8 D.16D
Freeti
2019-12-17
9
问题
选项
A.2B.4C.8D.16
答案
D
解析
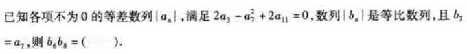
[img]/upload/tiku/459/6542483_1.png[/img]
转载请注明原文地址:https://ti.zuoweng.com/ti/K4zlKKKQ
相关试题推荐
燕京八绝是指具有“京作”特色的八种工艺门类,它们充分汲取了各地民间工艺的精华,又
我国海域广阔,有四大海域,从南到北排列依次为()
2016年中央一号文件提出,要牢固树立和深入贯彻落实创新、协调、绿色、开放、共享
“中体西用”是洋务派处理中西文化关系的一种文化模式,一种文化心态。在洋务运动时期
警方在一家餐馆内展开抓捕行动,由于犯罪嫌疑人暴力抵抗,餐馆部分物品在抓捕过程中被
根据《中华人民共和国物权法》,下列属于不动产的是()
在市场经济下,当一国处于景气下降阶段时,经济上不可能出现的特征是()
2016年8月16日我国发射了世界首颗量子科学实验卫星,这将使我国在世界上首次实
二十国集团(G20)领导人第十一次峰会于2016年9月4日至5日在我国举行,并取
有序疏解非首都功能是落实城市战略定位、治理“大城市病”、实现可持续发展的阶段性要
随机试题
导游人员资格证书是由国家旅游局统一印制的,其颁发机关是( )。 A.国家
空肠大面积出血性炎症患者,行肠系膜上动脉选择性插管灌注加压素后,较为常见的并发症
患者,男性,70岁,充血性心力衰竭,服用洋地黄。护士为其发药时特别要注意的工作是
在嘈杂的环境中,人们依然能够敏感地听见有人喊自己的名字,这是知觉的( )。
心理发展的不平衡性体现在()。A.个体不同系统在发展速度上的不同B.个体不同系统在发展的起讫时间上的不同C.个体不同系统在到达成熟时期上的进程不同D.个体
下列属于妊娠慎用药的是A:甘遂B:猪牙皂C:三棱D:赭石E:土鳖虫
tRNA成熟过程不包括( )
砌筑反拱炉底前,应用()找准砌筑弧形拱的基面。A.水准仪B.钢尺C.放基准线D.样板
思维过程的产生依赖于()。 A.记忆 B.感觉 C.知觉 D.情感
费用明细账一般均采用三栏式账簿。