首页
财务会计
医药卫生
金融经济
考公考编
外语考试
学历提升
职称考试
建筑工程
IT考试
其他
登录
财务会计
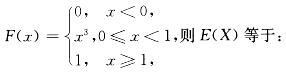
X的分布函数F(x),而
X的分布函数F(x),而
题库总管
2019-12-17
1
问题
X的分布函数F(x),而
选项
A. 0.7B.0. 75C. 0. 6D. 0. 8
答案
B
解析
[img]/upload/tiku/233/2658727_1.jpg[/img]
转载请注明原文地址:https://ti.zuoweng.com/ti/KXHNKKKQ
相关试题推荐
函数子程序FJ求一组数的和。 FUNCTIONFJ(X,N) DIMENS
某种理想气体的总分子数为N,分子速率分布函数为f(v),则速率在v1——v2区间
下列各波函数不合理的是:
A.f(X)为偶函数,值域为(-1,1) B.f(X)为奇函数,值域为(-∞,0) C.f(X)为奇函数,值域为(-1,1) D.f(X)为奇函数,值域为
某农产品的供给函数为Q=10+2P,式中:Q为供给量,单位为千克;P为价格
农产品需求函数描述的是农产品需求量与()之间的数量关系。
B提示根据逻辑函数的相关公式计算或者利用卡诺图即可证明。
图示非周期信号u(t)的时域描述形式是:(注:1(t)是单位阶跃函数)
某滤波器的幅频特性波特图如图所示,该电路的传递函数为:
pz波函数角度分布的形状是:
随机试题
个人住房装修贷款用途不包括( )。 A、支付房屋维修工程款 B、购买健身器材
某企业的商标有限期至2018年8月16日,该企业于2018年10月11日办理了续
A这里φ(u)是已给定的函数,但因无具体表达式,所以无论在怎样的坐标系下,无论是先对哪个变量积分都无法进行计算,根据本题积分区域关于直线y=x对称及被积函数的形
网络平台为项目管理工作提供的基本功能是()。
重力坝地基透水性较大时,为了防渗、减小扬压力并防止地基的破坏,采取的地基处理措施
在WAIS-RC的实施中,()测验是以反映的速度和正确性作为评分依据的。
道地药材是源于古代的一项辨别优质中药材质量的独具特色的综合标准,通常认为:道地药
在MA的应用上,最常见的法则是()。
当屋面坡度大于15%或受震动时,沥青防水卷材的铺贴方向应( )。 A、平行于
下列关于个人信用贷款的表述,正确的有()。A.贷款期限超过1年的,采取按月还本付息的还款方式B.展期超过6个月的,自展期日起,按当日挂牌的6个月贷款利率计息