首页
财务会计
医药卫生
金融经济
考公考编
外语考试
学历提升
职称考试
建筑工程
IT考试
其他
登录
财务会计
设A为矩阵,都是齐次线性方程组Ax=0的解,则矩阵A为( )。
设A为矩阵,都是齐次线性方程组Ax=0的解,则矩阵A为( )。
shuhaiku
2019-12-17
11
问题
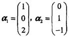
设A为矩阵,
都是齐次线性方程组Ax=0的解,则矩阵A为( )。
选项
答案
D
解析
提示:由于[img]/upload/tiku/36/2205886_1.jpg[/img]线性无关,故R(A)= 1,显然选项A中矩阵秩为3,选项B和C中矩阵秩都为2。
转载请注明原文地址:https://ti.zuoweng.com/ti/NFoNKKKQ
相关试题推荐
下列函数中不是方程y\'\'-2y\'+y=0的解的函数是: A.x2ex B
若n阶矩阵A的任意一行中n个元素的和都是a,则A的一特征值为: A.aB
根据均质线性变形体理论,计算均布条形荷载作用下的地站中建筑物荷载引起的附加应力,
在劳动争议中,采用《最高人民法院关于审理劳动争议案件适用法律的若干问题的解释》属
劳动争议的解决机制包括()。 A.自力救济B.社会救济C.公力救济 D
企业培训开发职能部门可以采用()模式。 A.学院B.客户C.矩阵D.
下列选项中,()是对“FOBTrimmed”贸易术语变形正确的解释。 A.
心理因素对躯体疾病影响机制的解释包括() A.认知系统的中介作用
MMPI效度量表F得分升高时,可能的解释包括()。 (A)理解错误(B)答题
设λ1、λ2是矩阵A的两个不同的特征值,ξ、η是A的分别属于λ1、λ2的特征向量
随机试题
3.(共用题干)赵某,女,10岁,持续发热2天,体温40.0℃,伴胸痛,咳嗽咳痰
一天午后,一群小孩子在田间的小路上追逐着一只蜻蜒。突然,蜻蜓猛地撞在树干上摔了下
男性,70岁。咳嗽、咳痰、喘息30余年,5年来间断加重,伴有双下肢水肿,一周来咳
信托的基本分类不包括的有()。
作品:文字作品:摄影作品
根据以下资料,回答126-130题。 2014年1—6月钟表行业(包括钟、表
1949年4月签订的某条约规定:“各缔约国同意对于欧洲或北美之一或数个缔约国之武
私募基金风险评级的具体标准,由私募()自行或委托独立第三方机构制定。A、基金管理人B、基金托管人C、基金经理D、基金公司
某企业组织员工学习安全生产管理理论,下列关于安全生产管理的理论说法错误的是()。A.事故频发倾向理论认为事故频发倾向者的存在是工业事故发生的主要原因B.海因
专业技术年限、技术年限或工作年限增长,需要调整薪酬档次的,一般从当年的()起调整。A:1月1日B:1月5日C:1月10日D:2月1日