首页
财务会计
医药卫生
金融经济
考公考编
外语考试
学历提升
职称考试
建筑工程
IT考试
其他
登录
财务会计
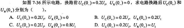
C正确答案是C。 提示:换路前后电容电压不发生突变。
C正确答案是C。 提示:换路前后电容电压不发生突变。
天天题库
2019-12-17
0
问题
选项
答案
C
解析
正确答案是C。提示:换路前后电容电压不发生突变。
转载请注明原文地址:https://ti.zuoweng.com/ti/NHoNKKKQ
相关试题推荐
用一个8位逐次比较型AD转换器组成一个5V量程的直流数字电压表,该电压表测量误差
B提示:AX=B,X=A-1B。
A提示:由合同矩阵定义,知存在一个可逆矩阵C,使CTAC=B,则称A合同于B。 另一方法,矩阵A为实对称矩阵,合同矩阵的特征值相同,易得答案为A。
B提示:通过举例说明。
D提示:本题是由球面里面部分和旋转拋物面外部围成的,立体在xOy平面上投影区域:x2+y2≤1,利用柱面坐标写出三重积分。
C提示:把化为球坐标系下的三次积分。被积函数代入直角坐标与球面坐标的关系式x2+y2+z2=r2,体积元素dV=r2sinφdrdθdφ。
D提示:画出积分区域D的图形,确定r和θ的取值。 θ值:由θ=0变化到θ=π/4,0≤θ≤π/4; r的确定:在0~π/4间任意做一条射线,得到穿入点的r
B提示:化为极坐标计算。面积元素dxdy=rdrdθ,x=rcosθ,y=rsinθ,写出极坐标系下的二次积分,再计算。
B提示:把积分区域D复原,做出x=6-y,x=y直线求交点,再做出直线y=3,y=0得出区域D,改变积分顺序,先y后x,由于上面边界曲线是由两个方程给出,则
D提示:利用级数性质易判定选项A、B、C均收敛。
随机试题
(38-39题共用题干) 女性36岁,东北林区工人。躯干反复皮损半年。初为红色
患者男性,46岁,因腹泻、便血确诊溃疡性结肠炎,开始服用SASP6g/d,为监测
甲公司2010年度财务报告批准报出曰为2011年3月20日,甲公司以下交易或事项
以下不属于个人综合消费贷款的用途的是()。
证券公司经营证券承销与保荐、证券自营、证券资产管理和其他证券业务中的任何两项以上
直肠长度约为 A.5~IOcm B.12~15cm C.16~20c
下列哪一种不是渗出性炎症A.卡他性炎症B.乙型脑炎C.流行性脑膜炎D.肾盂肾炎E.脓肿
从工程科技人才的成长规律看,成长为一名合格的工程师大体需要8—10年的时间,期间必须使其经历工程科学知识的学习、工程实践的锻炼以及在职继续教育的学习。但是...
施工现场设立的安全警示标志,现场围挡等所需的费用应计入下列()费用。A.分部分项工程B.规费项目C.措施项目D.其他项目
预期收入理论的观点包括( )。A.贷款能否到期归还,是以未来收入为基础的B.稳定的贷款应该建立在现实的归还期限与贷款的证券担保的基础上C.中央银行可以作为