首页
财务会计
医药卫生
金融经济
考公考编
外语考试
学历提升
职称考试
建筑工程
IT考试
其他
登录
建筑工程
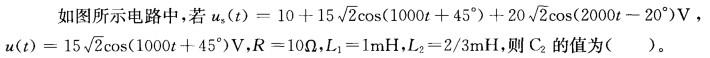
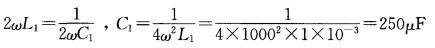
A. 150μF B. 200μF C. 250μF D. 500μFA. 150μF B. 200μF C. 250μF D. 500μF
A. 150μF B. 200μF C. 250μF D. 500μFA. 150μF B. 200μF C. 250μF D. 500μF
admin
2020-12-24
10
问题
选项
A. 150μF
B. 200μF
C. 250μF
D. 500μF
答案
C
解析
解 由题目可知,u(t)中只含有基波分量,这说明L1、C1在二次谐波作用下发生了并联谐振,L1、C1并联环节相当于开路,所以u(t)中不含有二次谐波分量。
答案:C
转载请注明原文地址:https://ti.zuoweng.com/ti/NxK8KKKQ
相关试题推荐
患者,男,27岁,自去年冬季以来每日发生空腹痛,进食后疼痛缓解。平时有恶心、打嗝、反酸,查体:在剑突右侧有局限压痛,无反跳痛。该患者可能的诊断为A.急性胃炎B
患儿,女,32周早产小于胎龄儿,出生后出现哭声异常,阵发性青紫,肢体抖动,实验室检查:血糖1.6mmol/L,诊断为新生儿低血糖。下列哪项措施可预防新生儿低血糖
患者,男,36岁。因车祸致内脏破裂大出血,行急诊手术治疗。去手术室之前,护士遵医嘱为患者建立静脉通道并行输血治疗。因时间紧,护士从血库取血后将血袋放入热水...
患者,男,36岁。因车祸致内脏破裂大出血,行急诊手术治疗。去手术室之前,护士遵医嘱为患者建立静脉通道并行输血治疗。因时间紧,护士从血库取血后将血袋放入热水...
患者,男,36岁。因车祸致内脏破裂大出血,行急诊手术治疗。去手术室之前,护士遵医嘱为患者建立静脉通道并行输血治疗。因时间紧,护士从血库取血后将血袋放入热水...
患者,男,36岁。因车祸致内脏破裂大出血,行急诊手术治疗。去手术室之前,护士遵医嘱为患者建立静脉通道并行输血治疗。因时间紧,护士从血库取血后将血袋放入热水...
患者,女,56岁,晚餐后洗衣时突然出现剧烈头痛,恶心、喷射状呕吐,被家人送到医院。急行CT检查,大脑外侧裂池呈高密度影。查体:脑膜刺激征阳性,无肢体瘫痪。...
患者女性,28岁。近两周工作忙,经常加班,睡眠少,就餐时间不规律,3天前来月经。昨起出现尿频、尿急、尿痛症状,今晨症状加重,并出现有血尿情况,来医院就诊,...
患者女性,28岁。近两周工作忙,经常加班,睡眠少,就餐时间不规律,3天前来月经。昨起出现尿频、尿急、尿痛症状,今晨症状加重,并出现有血尿情况,来医院就诊,...
患儿,8岁,因眼睑水肿、尿少4天入院。精神差,眼睑及面部水肿,指压凹陷不明显。血压125/80mmHg,24小时尿量为200ml,诊断为急性肾小球肾炎。经...
随机试题
被誉为\"欧洲古代教育理论发展最高成就\"的是( )。 A、《理想国》 B、《
根据下列图形规律将图形分组,分组正确的是:
由我国自主设计建造的第一艘科考破冰船已经正式开工。新船能在1.5米厚冰、0.2米
编制动态数列应坚持的原则是()。 A.时间长短应该可比 B.总体范围应该一
A.mRNA B.rRNA C.tRNA D.hnRNA
将pH=2和pH=11的强酸和强碱溶液等量混和,所得溶液的pH值为()。
试述新课程改革的具体目标。
理财顾问服务是指商业银行向客户提供的()等专业化服务。
下列有关定量调查描述错误的是A.定量调查常采用问卷的方式进行B.访谈法一般在样本较大或调查对象较集中的调查中使用C.现场自填法是现场把问卷发给被调查对象,填
水工混凝土裂缝的修补材料宜采用()等。A、环氧砂浆B、水泥砂浆C、钢纤维混凝土D、沥青砂浆E、压浆混凝土