首页
财务会计
医药卫生
金融经济
考公考编
外语考试
学历提升
职称考试
建筑工程
IT考试
其他
登录
考公考编
A.不连续 B.连续但左、右导数不存在 C.连续但不可导 D.可导C
A.不连续 B.连续但左、右导数不存在 C.连续但不可导 D.可导C
shuhaiku
2020-05-20
11
问题
选项
A.不连续B.连续但左、右导数不存在C.连续但不可导D.可导
答案
C
解析
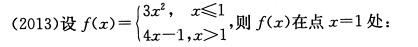
[img]/upload/tiku/131/602032_1.jpg[/img][img]/upload/tiku/131/602032_1_1.jpg[/img]
转载请注明原文地址:https://ti.zuoweng.com/ti/P7CMKKKQ
相关试题推荐
C提示:利用复合函数偏导数公式计算。
C提示:求积分上限函数的导数,由于上限为x2,用复合函数求导方法计算。设u
设f(x)有连续导数,则下列关系式中正确的是:
A.4 B.-4 C.-2 D.2C提示:用导数定义计算。
A.不连续 B.连续但左、右导数不存在 C.连续但不可导 D.可导C
随机试题
某患者,大便干,排出困难,小便清长,面色(白光)白,四肢不温,腹中冷痛,舌淡苔白
甲乙订立合同以后,发生的下列情形中,允许当事人解除合同的有()。
某机关甲、乙、丙、丁4个处室准备深入基层调研。他们准备调研的地方是红星乡、朝阳乡
在工程建设施工阶段,当通过压缩网络计划中关键工作的持续时间来缩短工期时,通常采取
知识点:甲状腺激素 影响神经系统发育最重要的激素是 A.生长激素 B.
统计行政机关在做出对()的行政处罚决定前,应当告知当事人有要求举行听证的权利。A.法人或者其他组织1万元以上的罚款,公民1千元以上的罚款B.法人或者
患者,男,42岁,码头搬运工人。安装永久性起搏器10天后出院,正确的出院指是()A:可以从事以往工作B:可以做磁共振检查C:学会每天自测脉搏D:术前上肢弯
中医强调所证论治,不同疾病出现相同的证候可以采用相同的治疗方法。适合应用归脾丸治疗的疾病有()A.郁证B.眩晕C.不寐D.泄泻E.崩涡
《中华人民共和国环境影响评价法》规定:()对可能造成不良环境影响并直接涉及公众环境权益的规划,应当在该规划草案报送审批前,举行论证会、听证会,或者采取其他...
人口年龄分组方法中,按5岁或10岁为组即对人口进行分组的是()A:一岁年龄组B:常见年龄组C:主要年龄组D:特殊年龄组