首页
财务会计
医药卫生
金融经济
考公考编
外语考试
学历提升
职称考试
建筑工程
IT考试
其他
登录
职称考试
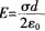
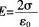
已知厚度为d的无限大带电导体平板,两表面上电荷均匀分布,电荷面密度均为σ,如图所示,则板外两侧的电场强度的大小为()。 A. B. ...
已知厚度为d的无限大带电导体平板,两表面上电荷均匀分布,电荷面密度均为σ,如图所示,则板外两侧的电场强度的大小为()。 A. B. ...
admin
2020-12-24
4
问题
已知厚度为d的无限大带电导体平板,两表面上电荷均匀分布,电荷面密度均为σ,如图所示,则板外两侧的电场强度的大小为()。
A.
B.
C.
D.
选项
答案
C
解析
在导体平板两表面外侧取两对称平面,做侧面垂直平板的高斯面,根据高斯定理,考虑到两对称平面电场强度相等.且高斯面内电荷为2σS,可得E=σ/ε0
转载请注明原文地址:https://ti.zuoweng.com/ti/PJt8KKKQ
相关试题推荐
在Word的编辑状态,被编辑文档中的文字有“四号”﹑“五号”﹑“16”磅﹑“18”磅4种,下列关于所设定字号大小的比较中,正确的是____。A.“四号”大于“
微型计算机内存容量的大小,一般是指______。A.ROM的容量B.RAM的容量C.Cache的容量D.SRAM的容量
微型计算机内存容量的大小,一般是指______。A.ROMB.RAMC.CacheD.SRAM
民警小王和小李在街上巡逻,见一妇女牵着一条狗,狗随地大小便,于是批评了该妇女。该妇女对民警破口大骂,引来许多人围观。公安机关以公然侮辱民警为由,决定对该妇...
明、清皇帝每年春天都要举行一种祭祀仪式。如图1,从中透出的核心信息是( )。 A.皇室祭祀的隆重排场B.专制君主的权威至上C.以农为本的立国理念D.统
“政府中的大小官员甚至首相都是女王意志的执行者,国内外所有繁琐的事务都要按照女王的指示去做。可事实上与之完全相反,政府官员和首相都是在选举中产生的,到女王...
美国首都华盛顿所在地原是一片荒无人烟的灌木丛林。联邦政府机构位于城市中心.国会大厦建在全城最高点“国会山”上,在其两侧分别是总统府和联邦最高法院。以建都时...
史载“大小之官,咸由吏部”“纤介之迹,皆属考功”。与文中所述相关的是()。A.世卿世禄制B.察举制C.九品中正制D.科举制
下列哪一种教学措施不利于提高体育课的练习密度?()。A.减少集体队伍调动B.选用全班集体练习C.增加全班集中指导D.增加每轮练习次数
在哪种环境下进行大强度训练或比赛易导致晕厥?()。A.寒冷环境B.湿热环境C.水环境D.喧嚣环境
随机试题
下列情形属于合同终止的是( )。 A、合同被解除 B、混同 C、标的物被
质押与抵押最重要的区别是()。 A.抵押权人没有保管标的物的义务,质权人对质
公路按其在公路网中的地位分为()
关于子宫内膜异位症防治的叙述,错误的是
下列不属于局部麻醉的是
面试的发展趋势有()。A:提问弹性化B:理论和方法不断发展C:形式丰富多样D:测评的内容不断扩展E:非结构化面试成为面试的主流
中国逐渐步入老龄化社会,养老人力资源的短缺和“4-2-1”式家庭结构导致子女养老能力不足,护理机器人进入家族代替或帮助子女为父母养老,成为解决未来社会养老...
糖类的纸色谱常用BAW溶剂系统作为展开剂,BAW是指A.正丁醇-乙醇-水B.正丁醇-甲酸-水C.正丁醇-甲醇-水D.正丁醇-乙酸-水E.正丁醇-丙酮-水
根据《建设工程安全生产管理条例》,分包单位从事危险作业人员的意外伤害保险费应由()支付。 A.总承包单位与分包单位按一定比例共同 B.分包单位 C....
下列各科目的期末余额,不应在资产负债表“存货”项目列示的是: A.库存商品 B.生产成本 C.工程物资 D.发出商品