首页
财务会计
医药卫生
金融经济
考公考编
外语考试
学历提升
职称考试
建筑工程
IT考试
其他
登录
金融经济
(6-7题共用备选答案)
(6-7题共用备选答案)
Freeti
2020-05-20
10
问题
(6-7题共用备选答案)
选项
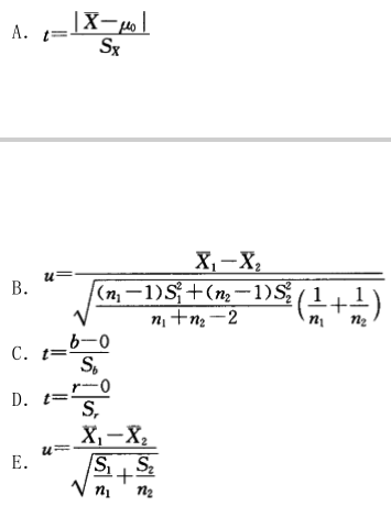
(6)两大样本均数比较的计算公式为
答案
E
解析
转载请注明原文地址:https://ti.zuoweng.com/ti/Q4hdKKKQ
相关试题推荐
(76-77题共用备选答案) A.玉竹 B.黄精 C.墨旱莲 D.女贞子
(74-75题共用备选答案) A.菟丝子 B.蛤蚧 C.冬虫夏草 D.黄
(1-3题共用备选答案) A.口腔行使各种功能运动时,基牙及支持组织不发生下沉
(142-146题共用备选答案) A.形态辨认障碍 B.空间关系综合征 C
(140-141题共用备选答案) A.耻骨直肠肌扩张 B.肛门内括约肌痉挛、
(68-69题共用备选答案) A.气虚自汗 B.阴虚盗汗 C.气分实热大汗
(66-67题共用备选答案) A.大补元气 B.接续筋骨 C.补益肺肾
(55-57题共用备选答案) A.细胞外液的等渗性改变,临床可表现为等渗性脱水
(47-49题共用备选答案) A.镉红 B.MMA C.2,6-二叔丁基对
(52-54题共用备选答案) A.145mmol/L以下 B.140mmol
随机试题
紫外线最小红斑量(MED)或生物剂量是指( )。 A、引起最小面积红斑的剂量
期货交易所风险准备金应按照()来提取。[2010年9月真题] A.手续费收入的
正常情况下,下列哪项不对 A.主动脉压>肺动脉压 B.左室压>右室压 C.
信息披露监管是指银监会要求银行业金融机构按照规定如实向社会公众披露相关信息,下列
下列关于票据行为的表述,错误的是()。 A承兑为汇票所独有的行为B偷窃票据不能称做出票行为C保证使用于汇票和本票D背书只能在汇票上进行
公司公开发行公司债券时,对于累计债券余额应当满足的条件是,累计债券余额不超过公司净资产的()。A.百分之二十B.百分之三十C.百分之四十D.百分之五十
患者男,55岁。刺激性咳嗽,痰中带血2周。胸片显示左肺门增大。 进一步需做()。A.纵隔镜检查B.结核菌素试验C.支气管镜检查D.晨痰培养加药敏试验E
广藿香与薄荷的共同点为A:来源于唇形科植物B:茎方形C:主产于广东、海南D:揉搓后有特殊清凉香气E:药用部分为全草
国际工程施工承包合同争议解决的方式中,最常用、最有效、也应当首选的解决争议的方式是()。 A.仲裁B.协商 C.调解D.诉讼
下列指标中,组成节能建筑工程评价指标体系的有()。A、体感变化B、建筑规划C、运营管理D、室内环境E、建筑围护结构