首页
财务会计
医药卫生
金融经济
考公考编
外语考试
学历提升
职称考试
建筑工程
IT考试
其他
登录
考公考编
该省2009-2013年GDP的年平均增长率约为:( ) A.17.6% B.22.7% C.35.3% D.97.7%该省2009-2013年GDP
该省2009-2013年GDP的年平均增长率约为:( ) A.17.6% B.22.7% C.35.3% D.97.7%该省2009-2013年GDP
admin
2020-12-24
10
问题
选项
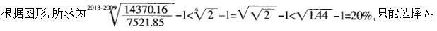
该省2009-2013年GDP的年平均增长率约为:( )
A.17.6%
B.22.7%
C.35.3%
D.97.7%
答案
A
解析
转载请注明原文地址:https://ti.zuoweng.com/ti/QEqCKKKQ
相关试题推荐
该省2009-2013年GDP的年平均增长率约为:() A.17.6% B.22.7% C.35.3% D.97.7%该省2009-2013年GDP
2009-2013年该省规模以上工业增加值增幅最小的一年是:() A.2010年 B.2011年 C.2012年 D.2013年2009-2013年
随机试题
一项研究中要对贫困户的比例进行推断。在95%的置信度下要求误差不超过±3%。采用
《金匮要略妇人杂病》中治疗\"少阴脉滑而数者,阴中即生疮,阴中蚀疮烂者\"的中药外洗
淋巴细胞型白血病与粒细胞型白血病分类根据 A、白血病细胞的分化程度 B、白
最严重的一种输血反应是 A、过敏反应 B、发热反应 C、溶血反应
报关企业的报关专用章或以在全关境内使用( )
健康咨询的5A模式的第一步是 A咨询者对咨询对象的诊断B咨询对象倾诉自己的感受
在城市道路工程设计中,下列()种设计是包括在城市道路平面设计中的。A:行车安全视距验算B:街头绿地绿化设计C:雨水管干管平面布置D:人行道铺地图按设计
从人力资本投资的角度来说,大学毕业生因为上大学而获得的总收益表现为()。A:大学毕业生在毕业后的一生中获得的全部工资性报酬B:大学毕业生从毕业到退休之前获得的
目前针对P2P网络借贷监管设置了四条红线,下列叙述有误的一项是()。A.明确平台的中介性质,主要为借贷双方的直接借贷提供信息交互、撮合、资信评估等中介服务
月末结转利润后,“本年利润”科目如为借方余额,表示自年初至本月末累计发生的亏损。