首页
财务会计
医药卫生
金融经济
考公考编
外语考试
学历提升
职称考试
建筑工程
IT考试
其他
登录
外语考试
B
B
昕玥
2019-12-17
2
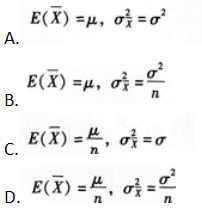
问题
选项
答案
B
解析
[img]/upload/tiku/243/8912777_1.png[/img]
转载请注明原文地址:https://ti.zuoweng.com/ti/RXF9KKKQ
相关试题推荐
企业对员工进行绩效考核时,常用的方法有()
常用的绩效考核的方法主要有()。
在进行企业人力资源需求预测时,应充分考虑的影响因素有( )。
下列属于人员使用计划的目标有()。
甲公司与乙公司重组后,甲公司存续,乙公司全部资产并入甲公司,并注销乙公司法人资格
某公司正考虑建设一个新项目。根据市场调查和财务部门测算,项目周期为5年,项目现金
某公司正考虑建设一个新项目。根据市场调查和财务部门测算,项目周期为5年,项目现金
某公司计划对某一项目进行投资,投资额为300万元,期限为5年,每年净现金流量分别
某公司计划对某一项目进行投资,投资额为300万元,期限为5年,每年净现金流量分别
表1-1甲、乙两方案各年现金净流量单位:万元 甲、乙
随机试题
患者,男,50岁。5年前腰部因疼痛,外贴膏药后皮肤出现局限性红肿,后起水疱,伴瘙
运输结构的内容包括()。
某企业2009年资产负债表中应收账款平均余额为120万元,年初应收票据余额5O万
现代农业发展的()目标是农业现代化的直接价值取向。
心肌梗死的二级预防不包括
重症SERS患者的表现,不正确的是
如果在法定的期限内,征收部门与被征收入达不成一致意见,则()。
哪味药的临床常用量为0.3~0.6gA.生石膏B.牛黄C.灯心草D.麝香E.马钱子
地骨皮的性状特征是A.折断时有粉尘飞扬,断面不平坦,略带层片状B.断面不平坦,外层黄棕色,内层灰白色C.断面呈纤维性片状,淡黄棕色或黄白色D.断面
消防站主要按占地和装备状况划分为三级,即一级消防站、二级消防站、三级消防站。其中二级消防站为拥有4、5辆车辆,占地()m2左右的消防站。A:3000B:2