首页
财务会计
医药卫生
金融经济
考公考编
外语考试
学历提升
职称考试
建筑工程
IT考试
其他
登录
建筑工程
A. 1.539; B. 0.04; C. 1. 164; D. 0.08。A. 1.539; B. 0.04; C. 1. 164; D. 0.08。
A. 1.539; B. 0.04; C. 1. 164; D. 0.08。A. 1.539; B. 0.04; C. 1. 164; D. 0.08。
admin
2020-12-24
13
问题
选项
A. 1.539;
B. 0.04;
C. 1. 164;
D. 0.08。
答案
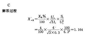
C
解析
转载请注明原文地址:https://ti.zuoweng.com/ti/Rj60KKKQ
相关试题推荐
如上题所述,则发电机的功率因数为()。 (A)O.85(B)O.75(C)O.65(D)O.55
线路上装设并联电抗器的作用是()。A.降低线路末端过电压B.改善无功平衡C.提高稳定性D.提高线路功率因数
为了使断路器各断口上的电压分布接近相等,常在断路器多断口上加装()。A.并联电抗B.并联电容C.并联电阻D.并联辅助断口
在3?20kV电网中,为了测量相对地电压,通常采用()。A.两台单相电压互感器接成不完全星形接线B.三相三柱式电压互感器C.三相五柱式电压互感器D.三台
系统接线如图所示,图中参数均为归算到同一基准,基准值之下(SB=50MVA)的标幺值。系统在f点发生a相接地,短路处短路电流及正序相电压有名值为()...
如图所示为某系统等值电路,各元件参数标么值标在图中,f点发生三相短路时,短路点的总电路电流及各电源对短路点的短路阻抗分别为()。 A.1.1360.
如图所示,某变电所装有一变比为110±5X2.5%/11,STN=31.5MVA的降压变压器,变电所高压母线电压、变压器归算到高压侧的阻抗及负...
降低网络损耗的主要措施之一是()。A.增加线路中传输的无功功率B.减少线路中传输的有功功率C.增加线路中传输的有功功率D.减少线路中传输的无功功率
高电压网线路中流过的无功功率主要影响线路两端的()。A.电压相位B.电压幅值C.有功损耗D.电压降落的横分量
绕线式异步电动机拖动恒转矩负载运行,当转子回路串入不同电阻,电动机转速不同。而串入电阻与未串电阻相比,对转子的电流和功率因数的影响是()。A.转子的电流大小和
随机试题
在某大型工程项目的实施过程中,由于“下情不能上传,上情不能下达”,导致项目经理不
依据《辅助设施运维细则》的规定,防火墙两侧、电缆夹层内、电缆沟通往室内的非阻燃电
最具流动性、最为活跃的货币供应量为( )
银行金融创新最终体现为银行风险的完全规避。()
患者,女,35岁,黄疸贫血伴关节酸痛3个月,体检检查巩膜黄染,脾肋下2cm,血红
有限合伙企业的设立应具备()。A.1名有限合伙人设立,1名普通合伙人B.1名有限合伙人设立,2名普通合伙人C.2个以上50个以下合伙人设立,至少应当有1名
劳神过度,临床常见的症状是A:腰酸腿软,精神萎靡B:气少力衰,神疲体倦C:眩晕耳鸣,性机能减退D:动则心悸,气喘汗出E:心悸失眠,腹胀纳呆
老年人易缺钙造成骨质疏松症原因是( )A.老年人钙吸收率下降B.老年人户外活动减少,维生素D摄入不足C.老年人体力活动减少,降低骨骼钙沉积D.以上皆是
能促进胰岛素分泌的磺酰脲类降血糖药物是()。A.格列美脲B.米格列奈C.盐酸二甲双胍D.吡格列酮E.米格列醇
国务院《邮政体制改革方案》提出,要保持邮政机要通信独立作业系统和生产的组织方式,这属于()的内容。A:通信安全管制B:政策引导管制C:特殊服务管制D:服务