首页
财务会计
医药卫生
金融经济
考公考编
外语考试
学历提升
职称考试
建筑工程
IT考试
其他
登录
财务会计
A.a=-1,b=2 B.a=-1,b=-2 C.a=-1,b=-1 D.a=1,b=1C
A.a=-1,b=2 B.a=-1,b=-2 C.a=-1,b=-1 D.a=1,b=1C
免费考试题库
2019-12-17
10
问题
选项
A.a=-1,b=2B.a=-1,b=-2C.a=-1,b=-1D.a=1,b=1
答案
C
解析
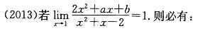
[img]/upload/tiku/212/2835486_1.jpg[/img][img]/upload/tiku/212/2835486_1_1.jpg[/img]
转载请注明原文地址:https://ti.zuoweng.com/ti/Rw4NKKKQ
相关试题推荐
真核基因的转录产物为 A.单顺反子 B.多顺反子 C.内含子与外显子相间排
关于早期釉质龋透明层,错误的说法是
有关嗜酸性腺瘤的描述,正确的是
关于坏死性唾液腺化生特征的描述,错误的是
慢性唾液腺炎表现以下病理变化,除了
牙髓是一种
下列表达广谱角蛋白的细胞是
无釉柱釉质位于
Epulis一词原意是指
上皮异常增生可表现下列变化,除了
随机试题
下列各项中,不属于国务院财政部门预算管理职权的有: A、具体编制中央预算、决算
结核性与癌性胸膜炎的最主要鉴别点是 A.胸腔积液ADA测定 B.胸腔积液生长
股份有限公司的财务会计报告应当在召开股东大会年会的一定期限前置备于本公司,供股东
电源联络线故障断路器跳闸,根据调度指令进行处理:重合闸重合不成,一般应强送一次,
Doyouhaveanyideawhatyouwouldlike
某一药物极易氧化,是由于
《铁路边界噪声限值及测量方法》中有关规定说明,铁路边界系指距铁路外轨轨道中心线(
肿瘤的生长速度取决于A、脏器B、组织来源C、细胞的分化成熟程度D、机体抵抗力E、、以上都不是
上海世博会会徽图案以中国汉字“世”字书法创意为形,寓意三人合臂相拥,状似美满幸福、相携同乐的家庭,也可抽象为“你、我、他”广义的人类,表达了世博会“理解、...
下列各项中,不属于会计职业道德教育途径的是______。A.会计职业道德的自我修养B.岗前职业道德教育C.岗位职业道德继续教育