首页
财务会计
医药卫生
金融经济
考公考编
外语考试
学历提升
职称考试
建筑工程
IT考试
其他
登录
建筑工程
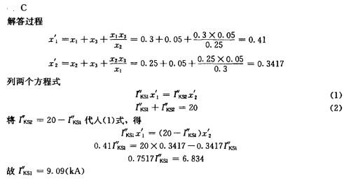
A. 16. 67kA; B. 17. 27kA; C. 9. 09kA; D. 10. 91kA。
A. 16. 67kA; B. 17. 27kA; C. 9. 09kA; D. 10. 91kA。
admin
2020-12-24
3
问题
A. 16. 67kA; B. 17. 27kA; C. 9. 09kA; D. 10. 91k
选项
A。
答案
C
解析
转载请注明原文地址:https://ti.zuoweng.com/ti/Sy60KKKQ
相关试题推荐
如上题所给数据,该电机的额定转差率SN为()。 (A)0.034(B)0.033(C)0.023(D)O.013
如上题所给数据,则该电机额定运行时的电流IN为()A。(A)13.83(B)27.48(C)23.95(D)15.87
—台三相感应电动机的额定数据为:PN=20kW,UN=380V,△接法。nN=1460r/min,启动转矩倍数Tst/TN=1.4。电机启动时改为Y接法,...
—台单相变压器的额定电压U1N/U2N=220/110V,如题4-87图所示,将X与x两端用导线连接,在A、a之间加电压U=110V,则变压器的主磁通与空载时的
—台三相同步电动机的额定数据为PN=2000kW,UN=3kV,cosψN=0.85(超前),ηN=90%,Y接法,其额定电流为()A。(A)871.5(B
三相感应电动机等值电路中的电阻(上消耗的功率为()。 (A)轴上输出机械功率(B)电磁功率(C)输入功率(D)总机械功率
变压器一次绕组漏电抗X1;是与交链一次绕组()相对应的参数。 (A)总磁通(B)磁通(C)主磁通(D)漏磁通
如上题所述,则发电机的功率因数为()。 (A)O.85(B)O.75(C)O.65(D)O.55
35kV及以下输电线路一般不采取全线路架设避雷线措施的原因是()。A.感应雷过电压超过线路耐雷水平B.线路杆塔档距小C.线路短D.线路输送容量小
为了使断路器各断口上的电压分布接近相等,常在断路器多断口上加装()。A.并联电抗B.并联电容C.并联电阻D.并联辅助断口
随机试题
幼儿园的环境创设主要是指( )。 A、购买大型玩具 B、合格的物质条件和良
(83-84题共用备选答案) A.空间知觉 B.时间知觉 C.运动知觉
某高速公路项目招标采用经评审的最低投标价法评标,招标文件规定对同时投多个标段的评
药物对机体作用的两重性指的是
技术交易的主要特点有()。
不是茶剂质量检验的内容的是 A.水分 B.溶化性 C.装量差异 D.微生
尽职调查的目的包括()。 Ⅰ价值发现 Ⅱ风险发现 Ⅲ投资决策辅助A.Ⅰ、ⅡB.Ⅰ、ⅢC.Ⅱ、ⅢD.Ⅰ、Ⅱ、Ⅲ
阿是穴又称为A.特定穴B.五输穴C.不定穴D.八会穴E.背俞穴
熟读精思(节选) 朱熹 凡读书,须整顿几案,令洁净端正,将书册齐整顿放,正身体,对书册,详缓看字,仔细分明读之。 须要读得字字响亮,不可误一字,不...
某公司是一家民营高科技企业,公司创立之初,内部关系融洽、员工士气高涨。经过上下共同努力,该公司很快发展成为一家集生产、研发于一体的中型高科技企业。在业界具...