首页
财务会计
医药卫生
金融经济
考公考编
外语考试
学历提升
职称考试
建筑工程
IT考试
其他
登录
财务会计
若 则a、b的值分别为( )。
若 则a、b的值分别为( )。
tikufree
2019-12-17
5
问题
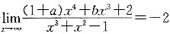
若
则a、b的值分别为( )。
选项
A.A.=-1,B.=0B.A.=-1,B.=-2C.A.=0,B.=0D.A.=3,B.=0
答案
B
解析
利用公式,当x→∞时,有理分函数有极限为-2,所以x4的系数为0,x3的系数为-2,即可得解
转载请注明原文地址:https://ti.zuoweng.com/ti/UBo9KKKQ
相关试题推荐
2018年某城市的消防远程监控系统正式建成,在其投入使用前需要对系统及系统组件
对自动喷水灭火系统中的闭式喷头进行现场检验时,应进行密封性能试验,以无渗漏、无损
某消防安全技术机构对一座汽车总装厂房进行检查,发现该厂房内封闭负压喷漆工段占第
下列关于消防给水系统中架空管道的固定支架或防晃支架的说法,不符合规定的是()
以下哪个建筑设置的消防水泵可以不设备用泵()
消防电梯井、机房与相邻其他电梯井、机房之间,采用耐火极限不低于()h的防火隔
下列关于自动喷水灭火系统的水压强度试验压力说法正确的是()。
下列哪些消防设施在墙上安装时,其底边距地的高度为1.3m~1.5m()
某高层塔式住宅,建筑高度为56m,一个单元分散设置两个疏散楼梯确有困难,所以采
以下哪些设备或设施的安装施工检查方法是核实设计图、核对产品的性能检验报告、直观检
随机试题
要列入固定资产的大修理支出,应同时符合的条件有( )。
在技术方案投资各方现金流量表中,应作为现金流出的有( )。
(1)英国科学家麦克劳德上小学的时候曾偷偷地杀死了校长家的狗,这在西方国家显然是
葛根芩连汤的适应病证是
比较适用于工期比较短、规模较小或材料设备技术规格简单的工程建设项目的材料设备供应
(非甾体抗炎药的主要不良反应) 美洛昔康可导致 A.肾功能损
下列不良资产不可以作为金融企业批量转让资产的是( )。A.已核销的账销案存资产B.抵债资产C.个人贷款D.按规定程序和标准认定为次级、可疑、损失类的贷
专供涂抹、敷于皮肤外用液体制剂是A.洗剂B.搽剂C.含漱剂D.灌洗剂E.涂剂
发包人委托的设计任务可以包括()。A.初步设计B.技术设计C.产品设计D.项目建议书E.施工图设计
下列地面面层中,属于整体面层的是()。(2011年真题)A.水磨石面层B.花岗石面层C.大理石面层D.实木地板面层