首页
财务会计
医药卫生
金融经济
考公考编
外语考试
学历提升
职称考试
建筑工程
IT考试
其他
登录
建筑工程
A. a1=(1,1,1,0)T,a2=(-1,-1,1,0)T B. a1=(2,1,0,1)T,a2=(-1,-1,1,0)T C. a1=(...
A. a1=(1,1,1,0)T,a2=(-1,-1,1,0)T B. a1=(2,1,0,1)T,a2=(-1,-1,1,0)T C. a1=(...
admin
2020-12-24
10
问题
A. a1=(1,1,1,0)T,a2=(-1,-1,1,0)T
B. a1=(2,1,0,1)T,a2=(-1,-1,1,0)T
C. a1=(1,1,1,0)T,a2=(-1,0,0,0)T
D.a1=(2,1,0,1)T,a2=(-2,-1,0,1)T
选项
答案
C
解析
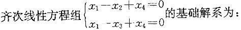
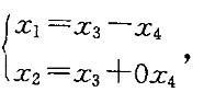
提示:对方程组的系数矩阵进行初等行变换,得到方程组的同解方程组
当x3=1,x4=0 时,得x1=1,x2=1;当x3=0,x4=1时,得x1=-1,x2=0,写成基础解系ξ1,ξ2。
转载请注明原文地址:https://ti.zuoweng.com/ti/UFKCKKKQ
相关试题推荐
图示体系的自振频率(不计竖杆自重)为:
图示体系,设弹簧刚度系数,则体系的自振频率为:
设θ=0.5w(w为自振频率),则图示体系的最大动位移为:
图示体系的自振频率为,其稳态最大动力弯矩幅值为: A.3PlB.4.5PlC.8.54PlD.2Pl
使单自由度体系的阻尼增大(阻尼增大后仍是小阻尼),其结果是: A.周期变长B.周期不变C.周期变短D.不能确定
图示体系,质点的运动方程为:
单自由度体系运动方程为,其中未包含质点重力,这是因为: A.重力包含在弹性力ky中了 B.重力与其他力相比,可略去不计 C.以重力作用时的静平衡位置...
图示结构,不计杆件分布质量,当EI2增大时,结构自振频率: A.不变B.增大 C.减少D.不能确定
单自由度体系自由振动的振幅仅取决于体系的: A.质量及刚度B.初位移及初速度 C.初位移、初速度及质量D.初位移、初速度及自振频率
单自由度体系的其他参数不变,只有刚度增大到原来刚度的两倍,则其周期与原周期之比为:
随机试题
以出让方式取得的房地产开发用地,因国有建设用地使用权人的行为造成的土地闲置,满(
某房地产开发企业以其土地使用权进行抵押,向特定几个投资商发行为期3年、票面年利率
在用连续波多普勒方法检查三尖瓣反流速度时,多普勒取样线与血流方向的夹角应小于
设计并生产家具的企业,最近12个月累计不含税的设计收入与家具销售收入达到如下金额
编制施工预算时,常见的材料消耗量汇总表有()。
油浸式电力变压器(电抗器)冷却装置专业巡视要点有()。
房地产投资是指经济主体以获得未来的房地产资产收益为目的,预先垫付一定数量的货币与
理中丸加减治疗哪型呕吐A.脾胃虚寒B.肝气犯胃C.痰湿中阻D.胃阴不足E.脾胃两虚
甲有二子乙、丙,甲于1996年立下遗嘱将其全部财产留给乙。甲于2004年4月死亡。经查,甲立遗嘱时乙17岁,丙14岁,现乙、丙均已工作。甲的遗产处理正确的是:A
在MMPI及MMPI-2中,如果临床量表1、2、3的T分均在60以上并呈现依次上升的趋势,则测图类型属于()。A.D类神经症性剖面图B.C类神经症性剖面