首页
财务会计
医药卫生
金融经济
考公考编
外语考试
学历提升
职称考试
建筑工程
IT考试
其他
登录
建筑工程
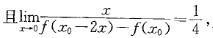
已知函数在x0处可导,则f ’(x0)的值是: A. 4 B. -4 C.-2 D. 2
已知函数在x0处可导,则f ’(x0)的值是: A. 4 B. -4 C.-2 D. 2
admin
2020-12-24
5
问题
已知函数在x0处可导,
则f ’(x0)的值是:
A. 4 B. -4 C.-2 D. 2
选项
答案
C
解析
提示:用导数定义计算。
故f'(x0) = -2
转载请注明原文地址:https://ti.zuoweng.com/ti/UJKCKKKQ
相关试题推荐
进行液化指数计算时,下述说法正确的是()。 A.液化指数计算的深度一般情况下应取15m B.0~5m范围内权函数为10 C.深度增加,权函数值相应...
进行液化指数计算时,下述正确的说法是( )。A.液化指数计算的深度一般情况下应取15mB.0~5m范围内权函数为10C.深度增加,权函数值相应减少D.当
设F(x)是f(x)的一个原函数, A.F(e-x)+cB.-F(e-x)+c C.F(ex)+cD.-F(ex)+c
下列函数中,哪一个不是f(x)=sin2x的原函数?A.3sin2x+cos2x-3B.sin2x+1C.cos2x-3cos2x+3D.(1
设f(x)是连续函数,则f(x)= A.x2B.x2-2C2xD.x2-16/9
已知由方程siny+xey,确定y是x的函数,则dy/dx的值是:
设参数方程,确定了y是x的函数,f'(t)存在且不为零,则d2y/dx2 的值是:
已知函数在x0处可导,则f’(x0)的值是: A.4B.-4C.-2D.2
设参数方程确定了y是x的函数,且f(t)存在,f(0)=2, f(0)=2,则当t=0时,dy/dx的值等于: A.4/3B.-4/3...
函数y=x+xx,在x=0处应: A.连续且可导B.连续但不可导C.不连续D.以上均不对
随机试题
下列哪项属于月经先期 A、月经周期提前3天 B、月经周期提前4天 C、月经
TI-Ag的特点是 A.主要诱导产生IgA类抗体 B.在胸腺中产生IgG类抗
下列细胞中吞噬能力最强的是: A、单核巨噬细胞 B、淋巴细胞 C、中性粒细
如图所示,一辆汽车在距斑马线40米的时候看到行人在过马路,此时汽车的速度为30千
以下景区中,属于新疆5A级旅游景区的有()。
下列不属于现场施工质量检查内容的是()。
工程监理企业专业资质标准中,可设立甲、乙、丙级的工程类别是()。
桑代克的尝试一错误理论是通过以下哪一经典实验得出的?() A.黑猩猩问题解决实
审方中发现何种情况时应向患者说明,不予调配A:超时间用药时B:发现配伍禁忌时C:使用毒麻药时D:超剂量用药时E:服用方法有误时
人类活动要素的( )等形成了各种聚落景观。A:信息上的组合B:生产上的组合C:数量上的组合D:种类上的组合E:空间上的组合