首页
财务会计
医药卫生
金融经济
考公考编
外语考试
学历提升
职称考试
建筑工程
IT考试
其他
登录
考公考编
A
A
shuhaiku
2020-05-20
18
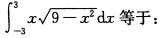
问题
选项
答案
A
解析
[img]/upload/tiku/131/296532_1.jpg[/img]
转载请注明原文地址:https://ti.zuoweng.com/ti/V8nEKKKQ
相关试题推荐
已知,某原电池的两个半电池都由AgNO3溶液和银丝组成,其中一个半电池的c(A
空间曲线在xOy平面的投影方程是()。
如图5-65所示直杆,其材料相同,截面和长度相同,支承方式不同,在轴向压力作用下
若f(x)为可导函数,且已知f(0)=0,f\'(0)=2,则的值为()。
设L是曲线y=lnx上从点(1,0)到点(e,1)的一段弧,则曲线积分()。
已知,则f(x)在(0,π)内的正级数的和函数s(x)在x=π/2处的值及系数b
图6-16所示一高压喷嘴,喷嘴出口断面1-1的平均流速为10m/s,喷至2-2断
原子序数为25的元素,其+2价离子的外层电子分布为()。
带有不平行两槽的矩形平板上作用一力偶M,如图4-16所示。今在槽内插入两个固定于
如图5-29所示梁的受载情况对于中央截面C为反对称。FSC和MC分别表示中央截面
随机试题
期货交易之所以具有发现价格的功能,是因为( )。[2015年5月真题] A
建筑业由于其自身特点,往往容易发生事故,对施工现场的从业人员造成伤害。下列事故类
按照城乡住户调查一体化方案,下列各项中不属于转移性收入范围的是()。
下列除了哪项外均为枳实导滞丸的主治证
以下不属于生态影响三级评价基本图件的是()。
关于不动产投资的定义,以下表述错误的是()A.不动产强调财产在地理位置上的相对固定性B.国内习惯不区分不动产和房地产,二者常常互换使用C.不动产是指土地以及
患者牙痛,隐隐而痛,时作时止,口不臭,有齿浮动,脉细。应选穴A.合谷、颊车、外关B.合谷、下关、风池C.合谷、颊车、内庭、二间D.合谷、颊车、太溪、行间
常致反射性心动过速A.卡托普利B.硝苯地平C.氢氯噻嗪D.氨甲喋啶E.美托洛尔
一研究组在对某一地区进行牙周健康的调查时,该组有一成员对社区牙周指数的理解有以下几项,其中错误的是A.牙周分为6个区段B.20岁以下查6颗指数牙C.探诊用
★申请人在申请复议时没有提出行政赔偿请求的,行政复议机关在依法决定撤销或者变更罚款等具体行政行为时,应当:() A.告知申请人向人民法院提起行政赔偿诉...