首页
财务会计
医药卫生
金融经济
考公考编
外语考试
学历提升
职称考试
建筑工程
IT考试
其他
登录
建筑工程
过点P1(1,1,1),P2(2,0,1)及P3(-1,-1,0)的平面方程是( )。A x+y-4z+2=0 B x-y-4z+2=0 C x+y-4z-2=
过点P1(1,1,1),P2(2,0,1)及P3(-1,-1,0)的平面方程是( )。A x+y-4z+2=0 B x-y-4z+2=0 C x+y-4z-2=
admin
2020-12-24
8
问题
过点P1(1,1,1),P2(2,0,1)及P3(-1,-1,0)的平面方程是( )。
选项
A x+y-4z+2=0
B x-y-4z+2=0
C x+y-4z-2=0
D x-y-4z-2=0
答案
A
解析
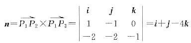
平面的一个法向量应为
于是由点法式方程,所求平面方程为 (x-1)+(y-1)-4(z-1)=0 即 x+y-4z+2=0
转载请注明原文地址:https://ti.zuoweng.com/ti/VsQCKKKQ
相关试题推荐
某深厚软黏土地基,采用堆载预压法处理,塑料排水带宽度100mm,厚度5mm,平面布置如图所示。按照《建筑地基处理技术规范》(JGJ79—2012),求塑...
某地下结构采用钻孔灌注桩作抗浮桩,桩径0.6m,桩长15.0m,承台平面尺寸27.6m×37.2m,纵横向按等间距布桩,桩中心距2.4m,边桩中心距承台边...
某建筑场地天然地面下的地质参数如表所示,无地下水。拟建建筑基础埋深2.0m,筏板基础,平面尺寸20m×60m,采用天然地基。根据《建筑地基基础设计规范》(...
一无限长砂土坡,坡面与水平面夹角为α,土的饱和重度γsat=21kN/m3,c=0,φ=30°,地下水沿土坡表面渗流,当要求砂土坡稳定系数Ks为1.2时,...
某安全等级为一级的建筑基坑,采用桩锚支护形式。支护桩桩径800mm,间距1400mm。锚杆间距1400mm,倾角15°。采用平面杆系结构弹性支点法进行分析...
某钻孔灌注桩单桩基础,桩径1.2m,桩长16m,土层条件如图所示,地下水位在桩顶平面处。若桩顶平面处作用大面积堆载p=50kPa,根据《建筑桩基技术规范》...
已知一砂土层中某点应力达到极限平衡时,过该点的最大剪应力平面上的法向应力和剪应力分别为264kPa和132kPa。问关于该点处的大主应力σ1、小主应力σ3...
某软土地基上多层建筑,采用减沉复合疏桩基础,筏板平面尺寸为35mX10m,承台底设置钢筋混凝土预制方桩共计102根,桩截面尺寸为200mmX200mm,...
天然地基上的独立基础,基础平面尺寸5mx5m,基底附加压力180kPa,基础下地基土的性质和平均附加应力系数见下表,问地基压缩层的压缩模量当量值最接近下...
某构筑物桩基安全等级为二级,柱下桩基础采用16根钢筋混凝土预制桩,桩径d=0.5m,桩长15m,其承台平面布置、剖面、地层以及桩端下的有效附加应力(假定按...
随机试题
标准经济周期的四个阶段依次是( )。 A.繁荣、萧条、衰退、复苏 B
直方图是概率统计中经常会使用到的一种统计图表,直方图的绘制要基于统计调查的数据,
危险化学品安全技术 为确保氧化反应过程安全阻止火焰蔓延、防止回火,在反应器和道
“教育是与种族需要、种族生活相适应的、天性的,而不是获得的表现形式,教育既无需周
男性,25岁,腹痛、腹泻伴低热1年半,结肠镜检査发现回肠末端黏膜呈鹅卵石样表现,
系统接线如图所示,图中参数均为归算到统一基准值SB=100MVA的标么值。变压器接线方式为Y/△-11,系统在f点发生BC两相短路,发电机出口M...
项目监理机构对施工单位进行的涉及结构安全的试块、试件及工程材料现场取样、封样、送检工作的监督活动称为( )。A.平行检验B.旁站C.见证取样D.巡视
整理工程文件按要求可以采用的书写材料有()。A、碳素墨水B、纯蓝墨水C、蓝墨水D、圆珠笔E、红色墨水
根据我国现行宪法关于特定主体权利的规定,下列说法中错误的是哪些?() A.我国《宪法》第48条规定、“中华人民共和国妇女在政治的、经济的、文化的和社会生...
企业根据员工所承担的工作或员工所具备的技能、能力而向员工支付的相对稳定的报酬属于()。A.基本薪酬B.奖金C.福利D.工作体验