首页
财务会计
医药卫生
金融经济
考公考编
外语考试
学历提升
职称考试
建筑工程
IT考试
其他
登录
建筑工程
某单回路500kV架空送电线路,位于海拔500m以下的平原地区,大地电阻率平均为200Ω·m,线路全长155km,三相导线a、b、c为倒正三角排列,线间距...
某单回路500kV架空送电线路,位于海拔500m以下的平原地区,大地电阻率平均为200Ω·m,线路全长155km,三相导线a、b、c为倒正三角排列,线间距...
admin
2020-12-24
0
问题
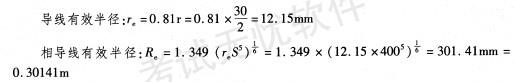
某单回路500kV架空送电线路,位于海拔500m以下的平原地区,大地电阻率平均为200Ω·m,线路全长155km,三相导线a、b、c为倒正三角排列,线间距离为7m,导线采用6分裂LGJ-500/35钢芯铝绞线,各子导线按正六边形布置,子导线直径为30mm,分裂间距为400mm,子导线的铝截面为497.01mm2,综合截面为531.37mm2。
计算该线路相导线的有效半径Re应为下列哪项数值? ()
(A)0.312m (B)0.400m
(C)0.336m (D)0.301m
选项
答案
D
解析
《电力工程高压送电线路设计手册》(第二版)P16表2-1-1、式(2-1-8)。
注:有效半径re与导线的材料和结构尺寸有关,钢芯铝绞线约为0.81r。
转载请注明原文地址:https://ti.zuoweng.com/ti/XOb0KKKQ
相关试题推荐
—台他励直流电动机用于起重机上,额定数据为:UN=220V,IN=350A,nN=795r/min,电枢回路电阻=0.032Ω。将吊起的重物下放时要求下放...
—台他励直流电动机额定数据为UN=220V,IN=40A,nN=1000r/min,电枢回路电阻Ra=0.5Ω,在负载转矩不变的情况下,当电压下降到U=1...
一台他励直流发电机的额定值为:PN=20kW,UN=220V,nN=1500r/min,电枢回路电阻Ra=0.2Ω,电机由满载到空载时转速上升5%,则空载...
—台并励直流电动机,PN=17kW,UN=220V,nN=3000r/min,IN=88.9A,电枢回路电阻Ra=0.114Ω,励磁回路电阻Rf=181....
在严重污秽地区的电网外绝缘水平,主要由()所决定。 (A)铁磁谐振过电压(B)切断空载线路 (C)雷电放电所产生的感应过电压(D)系统最大运行电压
()不是引起操作过电压的原因。 (A)铁磁谐振(B)空载线路合闸(C)切断空载变压器(D)断续电弧接地
()不是引起工频电压升高的原因。 (A)空载长线的电容效应(B)不对称短路 (C)甩负荷(D)雷绕过避雷线击于导线
一台单相变压器额定电压U1N/U2N=220/110V,出厂前进行极性试验,接线图如题4-101图所示,将X与X两端用导线连接,在A、X两端加额定电压U1...
—台单相变压器的额定电压U1N/U2N=220/110V,如题4-87图所示,将X与x两端用导线连接,在A、a之间加电压U=110V,则变压器的主磁通与空载时的
上题图为一台单相变压器示意图,其额定电压U1N/U2N=220/110V。现将X与a两端用导线连接,在A、x之间加电压U=330V,则变压器的主磁通与空载时的主
随机试题
低分化恶性肿瘤难以判定其组织来源,首选下列哪种特殊染色方法对其进行鉴别?( )
阴道内有大量脓性稀薄含泡沫分泌物,最常见的疾病是 A.滴虫阴道炎 B.念珠菌
体内哪种物质是不直接传递信息的()
皮格马利翁效应说明了教师的()对学生成长的重要意义。
评价信贷资产质量的指标不包括( )。
全心音减弱见于下述哪种情况A.精神紧张时B.健康人劳动后C.心包积液D.体瘦者E.虚弱者
证券公司对客户融资融券的保证金比例不得低于(),期限不超过()个月。A.10%;3B.20%;6C.30%;3D.50%;6
糖尿病的诊断标准是A.糖尿病症状加上随机血糖≥7.1mmol/LB.尿糖(++)加上空腹血糖≥7.1mmol/LC.餐后血糖≥11.1mmol/LD.糖尿
下列关于工程造价咨询企业的业务承接的说明,正确的是()。A.工程造价咨询企业从事造价咨询活动,不受行政区域的限制B.乙级工程造价咨询企业只能从事工程造价30
共用题干 截至2008年第四季度末,某期货交易所已缴纳的期货投资者保障基金总额为6.8亿元。该期货交易所2008年第四季度向期货公司会员收取的交易手续费...