首页
财务会计
医药卫生
金融经济
考公考编
外语考试
学历提升
职称考试
建筑工程
IT考试
其他
登录
建筑工程
A.必绝对收敛 B.必条件收敛 C.必发散 D.可能收敛,也可能发散
A.必绝对收敛 B.必条件收敛 C.必发散 D.可能收敛,也可能发散
admin
2020-12-24
1
问题
A.必绝对收敛 B.必条件收敛
C.必发散 D.可能收敛,也可能发散
选项
答案
D
解析
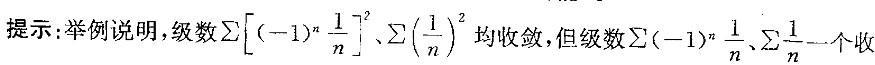
敛,一个发散。
转载请注明原文地址:https://ti.zuoweng.com/ti/XrKCKKKQ
相关试题推荐
误差的来源为下列中的哪些? A.测量仪器构造不完善B.观测者感觉器官的鉴别能力有限 C.外界环境与气象条件不稳定D.A、B和C
经纬仪的主要轴线应满足的几何条件有下列中的哪几项? Ⅰ.水准管轴垂直于纵轴Ⅱ.十字丝横丝水平 Ⅲ.横轴垂直于竖轴Ⅳ.视准轴垂直于横轴 Ⅴ.水准管...
微倾水准仪应满足的三个几何条件中最重要的是: A.水准管轴平行于视准轴B.圆水准器轴平行于竖轴 C.十字丝中央横丝垂直于竖轴D.水准管轴垂直于视准轴
针入度表示沥青的哪几方面性能? Ⅰ.沥青抵抗剪切变形的能力Ⅱ.反映在一定条件下沥青的相对粘度Ⅲ.沥青的延伸度Ⅳ.沥青的粘结力 A.Ⅰ、ⅡB.Ⅰ、...
我国混凝土强度等级采用立方体标准试件,在标准条件下养护28d后进行抗压强度试验所测得的抗压强度来确定,下列哪一个是正确的标准条件? A.温度12°C±2...
配制混凝土,在条件许可时,应尽量选用最大粒径的集料,是为了达到下列中的哪几项目的? Ⅰ.节省集料Ⅱ.减少混凝土干缩Ⅲ.节省水泥Ⅳ.提高混凝土强度 ...
铝酸盐水泥是否可与硅酸盐水泥混用? A.可以B.不可以C.在干燥条件下可以D.在一定温度下可以
现有白色胶凝材料,可能是石灰、石膏或白水泥中的一种,可用下列哪一种简易、快速的方法进行分辨? A.送化验室进行化学分析B.加热至120°C C.加热...
材料的抗弯强度与下列试件的哪些条件有关? Ⅰ.受力情况Ⅱ.材料重量Ⅲ.截面形状Ⅳ.支承条件 A.Ⅰ、Ⅱ、ⅢB.Ⅱ、Ⅲ、ⅣC.Ⅰ、Ⅲ、ⅣD....
固定资产必须具备的条件包括()。 A.大型机器设备B.使用期限超过1年 C.单位价值在规定标准上D.成品
随机试题
下列属于分包单位资格审核应包括的基本内容的有( ) A、营业执照、企业资质等
最常见于儿童的急性白血病是 A、急单核白血病 B、急巨细胞白血病 C、急红
张红是某大学一年级的学生,她参加了微积分的两次考试。第一次考试中,全班的平均成绩
医疗伤害带有一定的
土坡高度为8m,土的内摩擦角φ=10°(Ns=9.2),c=25kPa,γ=18kN/m3,其稳定安全系数为: A.1.5B.0.7C....
关于道氏理论,下列说法正确的是()。A、道氏理论认为平均价格涵盖一切因素,所有可能影响供求关系的因素都可由平均价格来表现B、道氏理论认为开盘价是最重要的价格,
根据工程建设标准强制性条文,油浸电力变压器、充有可燃油的高压电容器和多油开关等用房受条件限制必须布置在民用建筑物内时,不应布置在().A.上部人员稀少的地下
晚间护理的目的是A:提醒陪护人员离开病室B:保持病室美观、整洁C:保持患者清洁舒适D:做好术前准备E:进行卫生宣教
马氏体型不锈钢有较高的()。A.强度B.硬度C.柔韧性D.耐磨性
期货交易所、非期货公司结算会员有()行为的,应责令改正,给予警告,没收违法所得。A.违反规定使用、分配收益B.违反规定接纳会员C.不按照规定建立、健全结算担