首页
财务会计
医药卫生
金融经济
考公考编
外语考试
学历提升
职称考试
建筑工程
IT考试
其他
登录
建筑工程
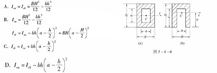
如图5-4-6所示,截面对z轴的惯性矩为()。
如图5-4-6所示,截面对z轴的惯性矩为()。
admin
2020-12-24
13
问题
如图5-4-6所示,截面对z轴的惯性矩为()。
选项
答案
B
解析
转载请注明原文地址:https://ti.zuoweng.com/ti/ZL60KKKQ
相关试题推荐
电路如图7-26所示,已知R=1kΩ,C=2μF,电路对f=500Hz的信号发生谐振,谐振时端口电流为0.1A,电流表的读数最接近于()A。 A.0.63B
图7-40中,图(a)所示电路的激励电压如图(b)所示,那么,从t=0时刻开始,电路出现暂态过程的次数和在换路时刻发生突变的量分别是()。 A.3次,电感电压
两质量、半径相同的圆盘,放在光滑水平面上,由静止开始同时受同样的力f作用,但作用点不同,如图4-58所示,则在同一瞬时两轮有()。 A.动量p1=p2B.
已知F1、F2、F3、F4为作用于刚体上的平面汇交力系,其力矢关系如图4-6所示为平行四边形。由此可知()。 A.力系可合成为一个力偶B.力系可合成为一个
在信号源(us,RS)和电阻RL之间接入一个理想变压器,如图7-44所示,若uS=80sinωtV,RL=10Ω,且此时信号源输出功率最大,那么,变压器的...
如图7-58所示,输出F与输入A、B的逻辑关系是()。
横波以波速u沿x轴正向传播,t时刻波形曲线如图2-9所示,则该时刻()。 A.A点速度小于零B.B点静止不动C.C点向上运动D.D点速度大于零
如图6-17所示,水从直径相同的喷嘴喷出,打在平板上,流速分别为1m/s、2m/s,两种情况下,对板的冲击力之比为()。 A.1:1B.1:2C.
电路如图7-30所示,开关S闭合前电路已达稳态,t=0时S闭合,电路的时间常数τ等于()。
如图6-20所示,180°等直径弯管放置在水平面内,直径D=50mm,流速v=8m/s,不计损失,弯管所受水的水平作用力为()。 A.125.6N向右
随机试题
比色分析中符号C表示 A.吸光度 B.电流 C.透光系数 D.透光度
生产性粉尘对人体有多方面的不良影响,尤其是含有()的粉尘,能引起严重的职业病—
实行审批制的建设项目,建设单位应在()完成环境影响评价文件报批手续。
关于降压药物的联合应用,下列叙述哪项不正确
2003年我国原油净进口量已经达8299.3万吨,保证我国石油安全的有效措施是(
自行式起重机选用时,根据被吊设备或构件的就位位置、现场具体情况等确定起重机的站车
在物业管理风险的内容中,日常物业管理的风险包括()。
胃肠道手术的术前准备,下列哪项不正确? A.术前2~3天开始应用抗生素B
德国教育家赫尔巴特是()。 A.儿童中心论的代表B.教师中心论的代表 C.劳动教育中心论的代表D.活动中心论的代表
证券公司从事代办股份转让业务,其自身需满足()的条件。 Ⅰ.最近年度净资产不低于8亿元 Ⅱ.净资本不低于5亿元 Ⅲ.1年不存在违法 Ⅳ....