首页
财务会计
医药卫生
金融经济
考公考编
外语考试
学历提升
职称考试
建筑工程
IT考试
其他
登录
医药卫生
已知的值为()。 A.1 B.0 C.-1 D.2
已知的值为()。 A.1 B.0 C.-1 D.2
免费考试题库
2020-05-20
11
问题
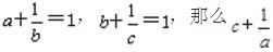
已知
的值为()。A.1B.0C.-1D.2
选项
答案
A
解析
将[img]/upload/tiku/405/2002026_1.JPG[/img]
转载请注明原文地址:https://ti.zuoweng.com/ti/ZSrpKKKQ
相关试题推荐
人孔的大小及数量应根据设备容积、公称尺寸的大小确定,且人孔数量不应小于()。
利用不同材料的特性、具有较长使用寿命的防腐方法是()保护法。 A、涂料 B、
设备及管道防腐蚀施工中,金属涂层主要采用()施工。 A、淋涂法 B、热喷涂法
涂料施工方法中,()适用于较大面积的涂装,效率高于刷涂。 A、刷涂法 B、滚
涂料施工方法中,()是应用最广泛的一种涂装方法,几乎可适用于一切涂料品种。 A
金属热喷涂材料的性能不包括()。 A、力学性能 B、表面性能 C、可使用性
具有良好的耐腐蚀性能,并有较好的耐碱性,漆膜有良好的弹性和硬度,收缩率较低,使用
自动化仪表设备安装要求中,综合控制系统设备安装前应具备下列条件()。 A、基础
自动化仪表设备的安装位置应按设计规定施工,当设计文件未具体明确时,应符合()要求
单台仪表的校准点应在仪表全量程范围内均匀选取,一般不应少于()点。 A、2
随机试题
下列选项属于造成现浇梁桥预拱度偏差的原因的有()。 A、支架弹性变形混凝土梁挠
临床实践证明,可能引起再生障碍性贫血的药物包括 A、甲氨蝶呤 B、保泰松
亚急性感染性心内膜炎首选的药物是 A.庆大霉素 B.链霉素 C.红霉素
某投资者在A股票现货价格为48元/股时,买入一份该股票看涨期权合约,期权价格为2
男,60岁。因慢性肾功能不全入院。血生化检査:K+6.5mmol/L,Na+13
女性,45岁。甲状腺呈多结节状肿大,伴有中枢神经系统兴奋,心悸、多汗、多食、消瘦、便次增多,下述哪项检查对鉴别毒性甲状腺瘤和结节性甲状腺肿伴甲亢最有意义A.甲状
亚当·斯密说过:“如果一个社会的经济发展成果不能真正分流到大众手中,那么它在道义上将是不得人心的,并且有风险,因为它注定会威胁到社会稳定。”这句话强调的是...
在民事诉讼中,判决书由()署名,加盖人民法院印章。A:被告B:书记员C:审判人员D:原告E:第三人
会计基本假设中会计分期的前提是( )。A.持续经营B.会计主体C.货币计量D.法律主体
关于“库存现金”日记账和“银行存款”日记账的登记方法表述中,正确的是______。A.定期汇总登记B.逐日逐笔登记C.一次汇总登记D.逐日汇总登记