首页
财务会计
医药卫生
金融经济
考公考编
外语考试
学历提升
职称考试
建筑工程
IT考试
其他
登录
财务会计
C
C
shuhaiku
2019-12-17
13
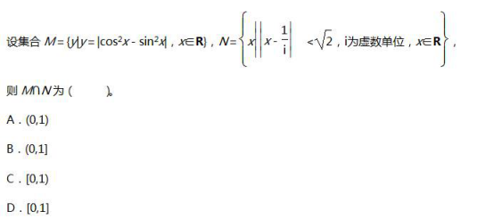
问题
选项
答案
C
解析
[img]/upload/tiku/438/5386315_1.png[/img]
转载请注明原文地址:https://ti.zuoweng.com/ti/ZX7lKKKQ
相关试题推荐
下列物质中不具有防腐作用的是
阿莫西林的化学结构式为
注射剂虽然剂量准确见效快,但易产生配伍变化或交叉感染,安全性不及口服制剂。中药注
《中国药典》将灰黄霉素原料药的粒度限度规定为5μm以下的粒子不得少于85%,其原
下列关于表面活性剂说法错误的是
“四环素的降解产物引起严重不’良反应”,其诱发原因属于
一般来说要求W/O型乳剂型软膏基质的pH不大于
药物化学研究的内容不包括
属于三氮唑类抗真菌药,代谢物活性强于原药,但半衰期短的药物是
下列关于胶囊剂概念正确叙述的是
随机试题
下列关于基金管理公司的说法正确的是( )。 A、证券投资基金按照组织形式和法
急性化脓性中耳炎患者,鼓膜穿孔后立即停用2%石碳酸甘油滴耳,是因为石炭酸甘油
如图5-19所示,矩形截面,C为形心,阴影面积对zC轴的静矩为(SzC)A,其余
管道安装前对管道元件及材料的检查要求必须具有制造厂的()。
合同权利义务终止不影响合同中争议解决、结算和清理条款的效力。()
如果上市公司主要是以公司所拥有的其他公司的股票作为股利支付给股东的方式称为(
年换算货物吞吐量150×~300×t的货运站场属于()级货运站。 A.一 B
可引起读码框移位的突变是 A转换 B颠换 C点突变 D缺失终止密码子 E插人10个核苷酸
某女35岁。换滴虫性阴道炎、霉菌检查阳性,症见带下量多,黄味瞅、阴部瘙痒。证属湿热下注导致的带下病,阴痒,治当清热解毒、燥湿止带、杀虫止痒,宜选用的成药是()
以下属于对因治疗的是A:铁制剂治疗缺铁性贫血B:患支气管炎时服用止咳药C:硝酸甘油缓解心绞痛D:抗高血压药降低患者过高的血压E:应用解热、镇痛药降低高热