首页
财务会计
医药卫生
金融经济
考公考编
外语考试
学历提升
职称考试
建筑工程
IT考试
其他
登录
考公考编
处的值为:
处的值为:
Freeti
2020-05-20
5
问题
处的值为:
选项
答案
A
解析
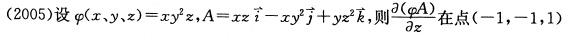
[img]/upload/tiku/131/602197_1.jpg[/img][img]/upload/tiku/131/602197_1_1.jpg[/img]
转载请注明原文地址:https://ti.zuoweng.com/ti/ahCMKKKQ
相关试题推荐
肝阳不足证最易见到 A手足麻木B手足抽搐C肌肉瞤动
知饥不食,舌红少苔常见于 A胃气虚证B胃热证C胃阴虚证
脘腹重坠作胀,食入益甚者多属 A脾虚气陷证B脾阳虚证C寒
脾阳虚证的辩证要点有 A腰膝酸软B畏寒肢冷C呕吐
大肠湿热证临床常见 A大便久溏,完谷不化B黎明腹泻,泻后痛减
胆酸的性质是 A可溶于乙酸B溶于浓硫酸成黄色溶液C醋酐-浓硫
咳嗽,咯黄稠痰,鼻流浊涕,口干咽痛,身热,微恶风寒者,应诊为 A风热犯肺证
具有溶解胆结石的胆汁酸类化合物有 A胆酸B去氧胆酸C鹅去氧胆
熊胆中主要化学成分为 A鹅去氧胆酸B丁醇衍生物C乙醇衍生物
牛黄的主要成分为 A胆酸B去氧胆酸C石胆酸D胆红素
随机试题
下列公园位于广西梧州市的有( )。 A、柳候公园 B、鱼峰山公园 C、潘
因装修需要,拟在边长为2m的正方形浴室正中央处安装圆形淋浴喷头,喷头直径为10c
()是指某一国家或地区的还款能力出现明显问题,对该国家或地区的贷款本息或投资可
根据波特的五种竞争力分析理论,下列各项关于供应商讨价还价能力的说法中,错误的是(
对中医学整体观念的说法,最恰当的是
娱乐场所应当与保安服务企业签订保安服务合同,配备专业保安人员,同时可聘用其他人员从事保安工作。()
患者,注射青霉素过程中,出现头晕、胸闷、面色苍白,脉细弱,血压下降,应立即注射的药物是A:盐酸肾上腺素B:氢化可的松C:异丙嗪D:去甲肾上腺素E:尼可刹
目前我国民用建筑普遍采用的塑料管道及电线电缆套管是()管。A.聚乙烯B.聚丙烯C.聚苯乙烯D.聚氯乙烯
与求助者的多数临床表现有内在联系的因素就是引发临床表现的()。(2011-05)A:关键点B:主导症状C:参照点D:必要条件
以下情形中注册会计师应出具无法表示意见的有()。A.注册会计师无法获取充分、适当的审计证据,其财务报表可能产生的影响重大且具有广泛性B.被审计单位存在多个不确