首页
财务会计
医药卫生
金融经济
考公考编
外语考试
学历提升
职称考试
建筑工程
IT考试
其他
登录
建筑工程
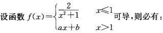
A. a=1,b=2 B. a=-1,b=2 C. a = 1,b=0 D. a=-1,b=0A. a=1,b=2 B. a=-1,b=2 C. a =
A. a=1,b=2 B. a=-1,b=2 C. a = 1,b=0 D. a=-1,b=0A. a=1,b=2 B. a=-1,b=2 C. a =
admin
2020-12-24
10
问题
选项
A. a=1,b=2
B. a=-1,b=2
C. a = 1,b=0
D. a=-1,b=0
答案
B
解析
转载请注明原文地址:https://ti.zuoweng.com/ti/dTn0KKKQ
相关试题推荐
患者,女,35岁,因急性胃肠炎需要在门诊输液治疗,护士选择静脉输液的穿刺部位,不正确的方法是A.选择粗、直、弹性好的静脉B.穿刺部位避开关节C.不宜在静脉瓣
患者,男,50岁。因哮喘发作去医院就诊。医嘱:氨茶碱0.25g加入25%葡萄糖20ml静脉推注,下列操作哪项是错误的A.穿刺部位的肢体下垫小枕B.在穿刺部位上
患者,男,66岁,肝性脑病前期,表现为意识思维错乱,行为失常,此时灌肠忌用A.生理盐水B.高渗盐水C.1.2.3溶液D.0.1%肥皂溶液E.小檗碱(黄连
患者,女,29岁,剖宫产分娩后6小时未排尿,主诉腹胀,此时最先采取的措施应为A.导尿B.按压膀胱C.肌注卡巴胆碱D.抬起床头,给予便器E.嘱患者增加饮水
患者,女,32岁,车祸后大出血,输入大量库存血后出现手足抽搐、血压下降,心率减慢的情况,患者可能发生了A.枸橡酸钠中毒反应B.过敏反应C.溶血反应D.肺水
患者,男,40岁,疟疾。患者体温骤然升高至39.0°C,持续6小时,然后下降至37.0°C,经过一个间歇,又反复发作,其热型为A.稽留热B.弛张热C.间歇热
患者,男,58岁,车祸致左上肢外伤,护士为其进行床上擦浴,以下做法正确的是A.由外眦向内眦擦拭眼部B.脱上衣时先脱左肢C.擦洗后按摩骨隆突出处D.穿上衣时
患者,女,54岁,“子宫内膜癌”根治术后2周。患者拟行化疗,选择经周围静脉的中心静脉穿刺(PICC),一次性PICC穿刺包的消毒灭菌宜选择A.压力蒸汽灭菌法B
患者,男,29岁,左胫腓骨粉碎性骨折,在行跟骨牵引术时患者需采取的体位是A.俯卧位B.去枕仰卧位C.侧卧位D.头高足低位E.头低足高位
患者,女,45岁,因车祸导致腰椎骨折,现需用平车搬动患者行CT检查,患者从床上搬运至平车时,平车放置的恰当位置是A.与床平行紧靠B.与床尾呈锐角C.与床尾呈
随机试题
下列混凝土工程中按招标设计图示尺寸计算的有效实体方体积计量的是()。 A、普通
白塞病除常见口腔溃疡外,还可出现() A.手、足掌的虹膜状损害 B.生殖器溃
人身事故调查应查明事故发生前()A.工作内容B.开始时间C.许可情况D
在客户(),营销人员应当使得客户有一个态度的转变,如认可或支持该公司及其产品。
价格变动产生的效应有()。 A.替代效应B.乘数效应 C.互补效应D.收入效应
苏子降气汤原方用法中注明加入何药同煎服A:芦根、苏叶、生姜B:桔梗、生姜、大枣C:苏叶、生姜、桔梗D:芦根、苏叶、桔梗E:苏叶、生姜、大枣
洛夏测验作为一种心理测验,其所用的方法是A.投射法B.问卷法C.作业法D.观察法E.会谈法
房地产销售一般根据项目销售量.销售目标和( )等因素决定销售人员人数。A.销售进度B.销售难度C.广告投放D.物业档次
社会分工和产业分工的产物是( )。A:城市B:工业C:乡村?D:第三产业
全面清查由于清查范围大、内容多、时间长、参与人员多,宜经常进行。