首页
财务会计
医药卫生
金融经济
考公考编
外语考试
学历提升
职称考试
建筑工程
IT考试
其他
登录
建筑工程
若P(A) = 0. 8, A. 0. 4 B. 0. 6 C. 0. 5 D. 0. 3
若P(A) = 0. 8, A. 0. 4 B. 0. 6 C. 0. 5 D. 0. 3
admin
2020-12-24
10
问题
若P(A) = 0. 8,
A. 0. 4 B. 0. 6 C. 0. 5 D. 0. 3
选项
答案
A
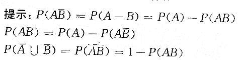
解析
转载请注明原文地址:https://ti.zuoweng.com/ti/gWKCKKKQ
相关试题推荐
大偏心受压构件的承载力随着M和N的变化也将变化,下列论述中正确的是哪一个? A.M不变时,N越小越危险B.M不变时,N越大越危险 C.N不变时,M...
某矩形截面柱,截面尺寸为400mmX400mm,混凝土强度等级为C20(fc=9.6MPa),钢筋采用HRB335级,对称配筋。在下列四组内力组合中,...
矩形截面对称配筋的偏心受压构件,发生界限破坏时的Nb值与ρ值有何关系? A.将随配筋率ρ值的增大而增大 B.将随配筋率ρ值的增大而减小 C....
在钢筋混凝土双筋梁、大偏心受压和大偏心受拉构件的正截面承载力计算中,要求受压区高度x≥2as'是为了保证下述哪项要求? A.保证受压钢筋在构件破坏时能...
钢筋混凝土偏心受压构件正截面承载力计算中,轴向压力的附加偏心距应取下列哪个数值? A.20mmB.截面最大尺寸的1/30 C.偏心方向截面最大尺寸...
在钢筋混凝土纯扭构件中,当受扭纵筋与受扭箍筋的强度比ζ=0.6~1.7时,则受扭构件的受力会出现下述哪种状态? A.纵筋与箍筋的应力均达到了各自的屈服...
设计钢筋混凝土受扭构件时,受扭纵筋与受扭箍筋的强度比ζ应为: A.1.8B.1.7C.不受限制D.在0.6~1.7之间
钢筋混凝土纯扭构件应如何配筋? A.只配与梁轴线成45°角的螺旋筋 B.只配抗扭纵向受力钢筋 C.只配抗扭箍筋 D.既配抗扭纵筋,又配抗扭箍筋
受弯构件架立筋的配置如图所示,其中哪个图的配筋是错误的(l为跨度)?
对钢筋混凝土梁斜截面受剪承载力计算的位置是下列中哪几个截面? Ⅰ.支座边缘处的截面Ⅱ.受拉区弯起钢筋弯起点处的截面Ⅲ.箍筋截面面积或间距改变处的截面...
随机试题
扁平苔藓确诊的首选检查是 A.真菌镜检 B.斑点试验 C.血象检查 D.
所得税的特点是()。
根据《继承法》,伪造、篡改遗嘱情节严重的,丧失继承权,遗嘱继承人丧失遗嘱继承权的
女性,38岁,肝硬化腹腔积液患者。1周来畏寒发热,体温在38℃左右,全腹痛,腹部
按照《建设项目环境风险评价技术导则》,一级环境风险评价的完整工作内容是()。
如图所示平面杆系结构,设三杆均为细长压杆,长度均为l,截面形状和尺寸相同,但三杆
有甲、乙、丙、丁四个场地,地震烈度和设计地震分组都相同。它们的等效剪切波速vse
随意识记属于()策略。 A.组织B.复述 C.精细加工D.计划
假如能过地心挖一条贯通地球的隧道,忽略空气阻力,隧道里的人如何运动?()A.—直坠到地心,不再运动B.下落并冲出对面的隧道口,来到地球的另一端C.下落到
共用题干 InflationBusinessandgovernmentleadersalsoconsidertheinflationra...