首页
财务会计
医药卫生
金融经济
考公考编
外语考试
学历提升
职称考试
建筑工程
IT考试
其他
登录
考公考编
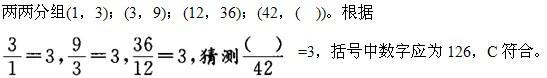
1,3,3,9,12,36,42,( )。A.56 B.84 C.126 D.160
1,3,3,9,12,36,42,( )。A.56 B.84 C.126 D.160
admin
2020-12-24
8
问题
1,3,3,9,12,36,42,( )。
选项
A.56
B.84
C.126
D.160
答案
C
解析
转载请注明原文地址:https://ti.zuoweng.com/ti/iKH0KKKQ
相关试题推荐
氧化磷酸化的解偶联剂是A.异戊巴比妥B.铁螯合剂C.COD.二硝基苯酚
质子通道是A.F1B.F0C.α-亚基D.复合体V
ATP合酶是A.F1B.F0C.α-亚基D.复合体V
既是呼吸链中递氢体,又是递电子体的是A.NADHB.NADPHC.细胞色素bD.细胞色素P450
LPL的激活因子是A.apoCⅡB.apoB48C.apoB100D.apoAⅠ
能为LDL受体识别和结合的载脂蛋白是A.apoCⅡB.apoB48C.apoB100D.apoAⅠ
LDL的主要载脂蛋白是A.apoCⅡB.apoB48C.apoB100D.apoAⅠ
有助于防止动脉粥样硬化的脂蛋白是A.乳糜微粒B.极低密度脂蛋白C.低密度脂蛋白D.高密度脂蛋白
β-羟脂酰CoA脱氢酶的辅因子是A.NAD+B.FADC.NADP+D.NADPH+H+
脂肪酸合成的供氢体是A.NAD+B.FADC.NADP+D.NADPH+H+
随机试题
专家们认为,造成老虎数量急剧下降的原因很简单:捕杀野生动物的违法行为仍未被完全禁
下列叙述中错误的是() A.X线可诱导癌症 B.X线影像的传递与转换精度,取
建设工程全要素造价管理是指要事先()的集成管理。
孕妇患急性肾盂肾炎应首选 A青霉素 B氨苄青霉素 C红霉素 D四
下列方法中,可用来综合控制工程进度和工程造价的是()。 A.香蕉曲线法和S
血虚生风证表现是A.两目上视,手足抽搐B.肢体麻木,震颤拘急C.头晕目眩,手足蠕动D.头重脚轻,眩晕耳鸣E.突然昏仆,口眼斜
组胺中毒的机制是A.扩张支气管B.收缩毛细血管C.降低体温D.扩张毛细血管E.升高血压
一般情况下,下列关于检验批与分项工程之间关系的描述,正确的说法是()。A.分项工程是检验批验收的基础B.两者有着截然不同的性质C.两者具有相同或相近的性
施工企业项目经理往往是一个施工项目施工方的总组织者、总协调者和总指挥者,项目经理不仅要考虑项目的利益,还应服从()的整体利益。A.业主B.总承包单位C.本施
下列各项中,不属于《企业会计准则第22号—金融工具确认和计量》规定的金融负债的有( )。A.按照销售合同的约定预收的销货款B.按照产品质量保证承诺预计的保修