首页
财务会计
医药卫生
金融经济
考公考编
外语考试
学历提升
职称考试
建筑工程
IT考试
其他
登录
建筑工程
过z轴和点M(1,2,-1)的平面方程是: A. x+2y-z-6=0 B. 2x-y=0 C. y+2z=0 D. x+z=0
过z轴和点M(1,2,-1)的平面方程是: A. x+2y-z-6=0 B. 2x-y=0 C. y+2z=0 D. x+z=0
admin
2020-12-24
9
问题
过z轴和点M(1,2,-1)的平面方程是:
A. x+2y-z-6=0 B. 2x-y=0
C. y+2z=0 D. x+z=0
选项
答案
B
解析
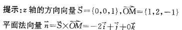
平面方程-2(x-1) + 1(y-2)=0 化简得2x-y=0
转载请注明原文地址:https://ti.zuoweng.com/ti/jRQCKKKQ
相关试题推荐
某深厚软黏土地基,采用堆载预压法处理,塑料排水带宽度100mm,厚度5mm,平面布置如图所示。按照《建筑地基处理技术规范》(JGJ79—2012),求塑...
某地下结构采用钻孔灌注桩作抗浮桩,桩径0.6m,桩长15.0m,承台平面尺寸27.6m×37.2m,纵横向按等间距布桩,桩中心距2.4m,边桩中心距承台边...
某建筑桩基,作用于承台顶面的荷载效应标准组合偏心竖向力为5000kN,承台及其上土自重的标准值为500kN,桩的平面布置和偏心竖向力作用点位置见图示。问承...
某筏板基础,平面尺寸为12m×20m,其地质资料如图所示,地下水位在地面处。相应于作用效应准永久组合时基础底面的竖向合力F=18000kN,力矩M=820...
某建筑场地天然地面下的地质参数如表所示,无地下水。拟建建筑基础埋深2.0m,筏板基础,平面尺寸20m×60m,采用天然地基。根据《建筑地基基础设计规范》(...
某建筑采用筏板基础,基坑开挖深度10m,平面尺寸为20m×100m,自然地面以下土层为粉质黏土,厚度20m,再下为基岩,土层参数见下表,无地下水。根据《建...
一无限长砂土坡,坡面与水平面夹角为α,土的饱和重度γsat=21kN/m3,c=0,φ=30°,地下水沿土坡表面渗流,当要求砂土坡稳定系数Ks为1.2时,...
已知一砂土层中某点应力达到极限平衡时,过该点的最大剪应力平面上的法向应力和剪应力分别为264kPa和132kPa。问关于该点处的大主应力σ1、小主应力σ3...
某软土地基上多层建筑,采用减沉复合疏桩基础,筏板平面尺寸为35mX10m,承台底设置钢筋混凝土预制方桩共计102根,桩截面尺寸为200mmX200mm,...
天然地基上的独立基础,基础平面尺寸5mx5m,基底附加压力180kPa,基础下地基土的性质和平均附加应力系数见下表,问地基压缩层的压缩模量当量值最接近下...
随机试题
进行工资集体协商时,雇主一方的代表可由()担任。 A.企业法定代表人 B.
监理工程师审查施工单位施工组织设计时,应审查的基本内容包括( )。
对安防人员的仪表和礼貌礼仪的要求,下列叙述不正确的是()。
全口义齿的基托边缘不应止于()A.前庭沟底B.翼上颌切迹C.后颤动线D.磨牙后垫前缘E.口底
常言道“数子十过,莫如奖子一长”,这句话启示我们教育应该坚持( )。A.以实战锻炼为主B.以情感体验为主C.以表扬奖励为主D.以说服教育为主
【材料一】在某市一条不足400米长的步行街上,清洁工人清理出人们吐掉的口香糖约15公斤。某市公交公司无人售票公共汽车3年间收到的残币假钞竟高达50万元。...
Ⅱ度重型以上子宫脱垂患者的主要临床表现是A下腹坠胀感B外阴部有肿物脱出C排尿困难D排便困难E张力性尿失禁
下列关于集中交割的交割结算价定义正确的是()。A.期货合约自交割月第一个交易日起至最后交易日所有成交价格的加权平均价B.期货合约自交割月第二个交易日起至最后交
评估机构对甲企业的下列资产进行了评估,具体情况如下: (1)甲企业中A材料系一个月前从外地购进,材料明细账的记载为:数量8000千克,单价500元/千克...
下列情形中,纳税人应当进行土地增值税清算的是( )。A.纳税人申请注销税务登记但未办理土地增值税清算手续的B.房地产开发项目全部竣工,销售70%,剩下的30