首页
财务会计
医药卫生
金融经济
考公考编
外语考试
学历提升
职称考试
建筑工程
IT考试
其他
登录
建筑工程
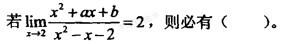
A. a = 2,b = 8 B. a = 2,b = 5 C. a = 0,b = -8 D. a = 2,b = -8A. a = 2,b = 8 B
A. a = 2,b = 8 B. a = 2,b = 5 C. a = 0,b = -8 D. a = 2,b = -8A. a = 2,b = 8 B
admin
2020-12-24
4
问题
选项
A. a = 2,b = 8
B. a = 2,b = 5
C. a = 0,b = -8
D. a = 2,b = -8
答案
D
解析
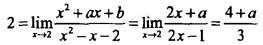
正确答案是D。 提示:当x→2,分母极限为零,分子也必须为零,故有4 + 2a + b = 0;利用洛必达法则,
所以a=2,代入4 + 2a + b= 0有b=-8。
转载请注明原文地址:https://ti.zuoweng.com/ti/jRn0KKKQ
相关试题推荐
支气管内镜取异物前需禁食的时间是()。A.1小时B.2—4小时C.4—6小时D.6—8小时E.8—10小时
糖尿病性神经病变最常见的部位是()。A.周围神经病变B.脑神经病变C.自主神经病变D.中枢神经病变E.脊髓病变
引起门静脉高压症的最常见原因是()。A.先天性门静脉狭窄B.血吸虫性肝硬化C.胆汁性肝硬化D.肝炎后肝硬化E.肝包虫病
患者,女性,32岁。已婚,未育,体检发现宫颈轻度糜烂,防癌涂片正常,针对该病患者最合适的处理是()。A.随访观察B.局部药物治疗C.口服抗生素D.物理治疗
患者,女性,32岁。已婚,阴道分泌物增多伴外阴瘙痒1周,妇科检查分泌物呈豆渣样,阴道黏膜有白色膜状物,轻轻擦去后可见糜烂及浅表溃疡。该患者首选辅助检查是()。A
患者,女性,38岁。阴道分泌物增多3个月,因同房后出血前来就诊。妇科检查发现宫颈重度糜烂,子宫大小正常,双侧附件未见异常。诊断为慢性宫颈炎。该患者首先要做...
患者,女性,25岁。近1个月心慌、双下肢水肿,不能平卧。既往有风湿性心瓣膜病4年,3日来静脉注射毛花苷丙0.8mg,自服地高辛2片,静脉注射呋塞米60mg...
中药的四气为()。A.是指中药的四种特殊气味B.寒凉药具有散寒、助阳的作用C.是指中药的寒、热、温、凉四种药性D.是指中药的辛、咸、甘、苦四种味道E.温
主宰生长发育功能的脏腑为()。A.心B.肝C.脾D.肺E.肾
导致功能失调性子宫出血的病因不包括()。A.精神紧张B.营养不良C.子宫肌瘤D.过度劳累E.气候骤变
随机试题
下列选项中,()不适宜作为风险管理的目标。 A.减少损失 B.降低事故
抗日战争时期,日本侵略者将沦陷区矿业、钢铁业和交通运输业等交由日本公司专营,打出
甲与乙订立租期为40年的房屋租赁合同。依据我国合同法的规定,该合同关于租期的约定
绝大多数严重的流动性危机都源于商业银行外部环境的变动。()
可用于有高温要求的工业车间大体积混凝土构件的水泥是()。A.硅酸盐水泥B.普通硅酸盐水泥C.矿渣硅酸盐水泥D.火山灰质硅酸盐水泥
下列关于结核菌的描述错误的是A.染色具有抗酸性B.在阴湿处能生存5个月以上C.烈日下暴晒1小时可被杀死D.70%乙醇接触2分钟可杀菌E.煮沸5分钟能被杀
下列选项中,中国古代发明的仪器与用途对应不正确的是( )。A.浑天仪—演示天体运动B.司南—辨别方向C.水车—播种工具D.日晷—计时
住宅自然采光的卫生要求规定开角不应小于( )A.4°B.10°C.20°D.27°E.5°
我国财政政策的目标包括( )。A:允分就业B:价格水平棚对稳定C:人民文化水平逐步提高D:经济适度增长E:国际收支平衡
招标采购项目信息的()决定了工作效率的提升空间。A:经济性B:独立性C:快捷性D:准确性