首页
财务会计
医药卫生
金融经济
考公考编
外语考试
学历提升
职称考试
建筑工程
IT考试
其他
登录
建筑工程
若把牛顿环装置(都是用折射率为1.52的玻璃制成的)由空气搬入折射率为1.33的水中,则干涉条纹( )。A.中心暗斑变成亮斑 B.变疏 C.变密 D.间距不变
若把牛顿环装置(都是用折射率为1.52的玻璃制成的)由空气搬入折射率为1.33的水中,则干涉条纹( )。A.中心暗斑变成亮斑 B.变疏 C.变密 D.间距不变
admin
2020-12-24
11
问题
若把牛顿环装置(都是用折射率为1.52的玻璃制成的)由空气搬入折射率为1.33的水中,则干涉条纹( )。
选项
A.中心暗斑变成亮斑
B.变疏
C.变密
D.间距不变
答案
C
解析
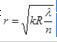
在空气膜的牛顿环中,两反射光分别在光疏到光密媒质界面上反射和在光密到光疏媒质界面上反射,因而存在λ/2的附加光程差,在水膜的牛顿环中也存在λ/2的附加光程差,所以中心仍为暗斑。明环的半径
和暗环的半径
与折射率平方根成反比,所以在水中的牛顿环条纹较密。
转载请注明原文地址:https://ti.zuoweng.com/ti/lNQCKKKQ
相关试题推荐
5岁儿童腕部骨化中心出现的数目为A、4B、5C、6D、7E、8
某矩形基础,底面尺寸2.5m×4.0m,基底附加压力p0=200kPa,基础中心点下地基附加应力曲线如图所示。问:基底中心点下深度1.0~4.5m范围内附...
某工程要求地基处理后的承载力特征值达到200kPa,初步设计采用振冲碎石桩复合地基,桩径取0.8m,桩长取10m,正三角形布桩,桩间距1.8m,经现场试验...
某高填土路基,填土高度5.0m,上部等效附加荷载按30kPa考虑,无水平附加荷载,采用满铺水平复合土工织物按1m厚度等间距分层加固,已知填土重度γ=18k...
墙下条形基础,作用于基础底面中心的竖向力为每延米300kN,弯矩为每延米150kN·m,拟控制基底反力作用有效宽度不小于基础宽度的0.8倍,满足此要求的基...
某四桩承台基础,准永久组合作用在每根基桩桩顶的附加荷载为1000kN,沉降计算深度范围内分为两计算土层,土层参数如图所示,各基桩对承台中心计算轴线的应力影...
某安全等级为一级的建筑基坑,采用桩锚支护形式。支护桩桩径800mm,间距1400mm。锚杆间距1400mm,倾角15°。采用平面杆系结构弹性支点法进行分析...
某Ⅰ级铁路路基,拟采用土工格栅加筋土挡墙的支挡结构,高10m,土工格栅拉筋的上下层间距为1.0m,拉筋与填料间的黏聚力为5kPa,拉筋与填料之间的内摩擦角...
某场地地层结构如图所示。采用单孔法进行剪切波速测试,激振板长2m,宽0.3m,其内侧边缘距孔口2m,触发传感器位于激振板中心;将三分量检波器放人钻孔内地面...
某高层建筑拟采用天然地基,基础埋深10m,基底附加压力为230kPa,基础中心点下附加应力系数见附表。初勘探明地下水位埋深3m,地基土为中,低压缩性的粉土...
随机试题
下列乳腺癌中哪一种癌在超声显示上有特征性 A.黏液癌 B.导管内乳头状癌
同步电击复律的同步触发装置利用患者心电图中的R波来触发,在心动周期的哪一时期发放
客户开发责任追究制度应当明确()等相关期货从业人员的责任。
根据《中华人民共和国反洗钱法》的规定,金融机构通过第三方识别客户身份的,应当确保
国家工作人员或者受国有单位委派管理、经营国有财产的工作人员,利用职务上的便利,侵吞国有财产占为已有,构成贪污罪,情节特别严重的最高可以处以()。A.无期徒刑
如果在工作簿中既有工作表又有图表,当选择保存命令后,Excel将()。A.只保存其中的工作表B.只保存其中的图表C.把工作表和图表分别保存到两个文件中D
患者,女性,35岁。因甲亢接受放射性碘治疗,治疗后护士应嘱患者定期复查,以便及早发现A.甲状腺癌变B.甲状腺功能减退C.粒细胞减少D.突眼恶化E.甲状腺
当今世界,随着网络在人们生活中的普及诞生了一批新新人类,他们在网上进行交流、贸易,甚至生存,但是一些社会问题也随着这一新事物的发展日益暴露出来。如:网上谩...
下列污染源不适用《大气污染物综合排放标准》的有()。A:建筑施工场地B:硫酸生产C:炼焦炉D:恶臭排放
下列关于无形资产摊销会计处理的表述中,不正确的有( )。A.企业对使用寿命有限的无形资产进行摊销,摊销金额一般应当计入当期损益,同时贷记“累计摊销”科目B.企