首页
财务会计
医药卫生
金融经济
考公考编
外语考试
学历提升
职称考试
建筑工程
IT考试
其他
登录
建筑工程
把直径d=1mm为的钢丝绕在直径为2m的卷筒上,钢丝的弹性模量E=200GPa,则钢丝中产生的最大应力为___;若钢丝的容许应力[σ]=200MPa,则所...
把直径d=1mm为的钢丝绕在直径为2m的卷筒上,钢丝的弹性模量E=200GPa,则钢丝中产生的最大应力为___;若钢丝的容许应力[σ]=200MPa,则所...
admin
2020-12-24
10
问题
把直径d=1mm为的钢丝绕在直径为2m的卷筒上,钢丝的弹性模量E=200GPa,则钢丝中产生的最大应力为___;若钢丝的容许应力[σ]=200MPa,则所绕钢丝最大直径为___。()
选项
A.σmax=500MPa;dmax=4mm
B.σmax=100MPa;dmax=2mm
C.σmax=200GPa;dmax=0.001mm
D.σmax=100GPa;dmax=3mm
答案
B
解析
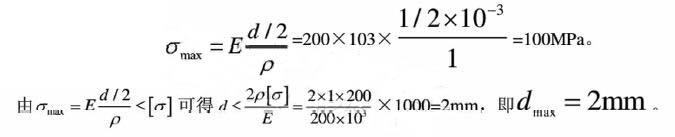
钢丝绕在圆筒上时,钢丝处于纯弯状态,中性层的曲率半径等于卷筒的半径,即ρ=1m,可得钢丝中的最大应力为
转载请注明原文地址:https://ti.zuoweng.com/ti/mZb0KKKQ
相关试题推荐
短路发生时三相导体的中间相所受应力没有()。( A)不衰减的同定分量(B〉衰减的非周期分量 (C)衰减的工频分量(D)不衰减的倍频分量
速度v、直径d、动力黏滞系数μ、密度ρ组成的无量纲数可表达为()。A.dv/ρμB.dμv/ρC.dvρ/μD.dμρ/v
研究锥管阻力的模型实验,原型进出口直径分别为1m和2m,管长0.5m,则模型管锥顶角为()。A.45°B.60°C.90°D.120°
如图6-28所示,淹没出流,A、B、C三孔的直径相同,则三者出流量的大小按下顺序排列()。 A.ABCB.BACC.CBAD.全相等
突然缩小管路,缩小前后管路直径分别为200mm和100mm,缩小前断面平均流速为V1=1m/s,则局部水头损失hm为()m。A.0.613B.0.306
一恒定出流薄壁小孔口,直径为和d=2cm,作用水头场H0=4m,则其出流量Q为()m3/s。A.1.82x10-3B.1.63x10-3C.1.54x
在正常工作条件下,作用水头H、直径的d相等时,小孔口收缩断面的流速v和圆柱形外管嘴出流的流速vn()。A.v>vnB.v=vnC.vnD.不定
图6-22中,并联管道1、2,两管的直径相同,不计局部损失,沿程阻力系数相同,长度l2=2l1。通过的流量为()。 A.Q1=0.5Q2B.Q1=Q
在正常工作条件下,作用水头H、直径d相等时,小孔口的流量Q和圆柱形外管嘴的流量Qn()。A.Q>QnB.Q=QnC.QnD.不定
如图6-19所示水箱排水系统2-2断面管口自由出流,管直径50mm,不计损失,管内流量为()L/s。 A.17.4B.8.86C.4.43D.
随机试题
男性,20岁,感冒后7天出现颜面及双下肢水肿,尿少。查:血压160/100mmH
上颌牙列中牙周膜面积最小的是 A.中切牙 B.侧切牙 C.尖牙 D.第一
企业文化的自律功能是指()。 A.不断强化从业人员追求利益最大化的动机 B
下列不属于维生素D缺乏性手足搐搦症临床特点的是
焦虑性人格障碍的特点是( )。
对求医行为的理解正确的是()。 A.由家属陪同者求治的愿望不强烈 B.神经症
教师的领导风格对课堂教学有()A.一定的帮助B.较弱的影响C.间接的影响D.直接的影响
血尿酸测定主要用于诊断A:痛风B:糖尿病C:脑卒中D:胃炎E:激素
一项探讨母亲围产期放射暴露与儿童白血病关联的病例对照研究数据如下:200例儿童白血病患者有30例的母亲在孕期接受过放射诊断,400例对照儿童的母亲只有20...
市政公用工程注册建造师签章文件表格中施工单位是指()。A.某工程施工总公司B.某工程项目经理部C.某工程施工子公司D.某工程施工分公司