首页
财务会计
医药卫生
金融经济
考公考编
外语考试
学历提升
职称考试
建筑工程
IT考试
其他
登录
考公考编
C
C
Freeti
2020-05-20
2
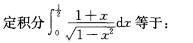
问题
选项
答案
C
解析
[img]/upload/tiku/138/330949_1.jpg[/img]
转载请注明原文地址:https://ti.zuoweng.com/ti/n5QMKKKQ
相关试题推荐
下列不属于理财确定原则的是()。
在现金管理中,年度支出预算等于()。
不属于无效民事行为的法律后果的是()。
根据弗里德曼等人的生命周期理论,个人在成熟期的理财特征是()。
下列哪种情形不是企业出现的早期财务预警信号?()
下列行为中,违反了《银行业从业人员职业操守》中“监管规避”原则的是()。
营销效率控制不包括()。
下列选项中的行为符合银行业从业人员礼物收、送规则的是()。
下列关于信用风险监测的说法正确的是()。
下列关于商业银行通过购买保险以管理其操作风险的说法,不正确的是()。
随机试题
()是管理人员价值观念、思维方式和心理素质的综合表现。 A.态度 B.技能
味甘性温,不宜与热茶同服的药是()
A期货公司为了吸引更多的客户在本公司交易,在许多方面都施行了宽松的政策。甲客户的
依据《中华人民共和国教育法》的相关规定,中华人民共和国公民不分民族、种族、性别、
关于动脉粥样硬化早期病变叙述,正确的是 A中膜平滑肌细胞迁入内膜B平滑肌细
秦汉时期,中华文化在中国和世界文明史上都有重要地位,表现在()。 ①开始成为东方文化中心 ②开始吸收外来文化成就 ③文化成就开始输出 ④科技水平...
“一源而三歧”的奇经八脉是指A.冲、任、带脉B.任、督、带脉C.冲、任、督脉D.督、冲、带脉E.冲、任、跷脉
下列不属于口腔黏膜变态反应性疾病的是A.药物血管神经性水肿B.过敏性接触性口炎C.药物过敏性口炎D.多形性渗出性红斑E.阿弗他溃疡
住宅布置中,住宅的( )是居住区规划的根本性问题,也是现代城市规划产生的起点。A:面积和高度B:面积和地理位置C:日照和通风D:日照和周围环境
关于劳动争议仲裁案件当事人的说法,符合法律规定的是()。A.用人单位与其他单位合并前发生的劳动争议,由合并后的单位为当事人B.用人单位与其他单位合并后发生